Tachometer সম্পর্কে
Tachmeter
ফ্রি চক্রাকারে আবর্তনের গতিমাপক যঁত্র
পেশাগত ডিজিটাল জিপিএস চক্রাকারে আবর্তনের গতিমাপক যঁত্র
গাড়ি, বিমান, ট্রেন, জাহাজ, নৌকা, মোটর সাইকেল, সাইকেল চালানো, দৌড়ানো, হেঁটে এ ব্যবহারের জন্য
কোথাও কর্মরত আছে উপগ্রহ কভারেজ - খুব নির্ভুল!
পরিমাপ এবং গতি, সঠিক অবস্থান, সময় এবং তারিখ রেকর্ডিং.
ভ্রমণকারীরা যারা সঠিক অবস্থানে (ট্র্যাক) নথিতে চান তাদের জন্য ভাল যেখানে তারা থাকুন.
প্রধান পর্দা:
রেডিও ontouch নির্বাচন - 1. কিমি / ঘঃ বা মাইল প্রতি ঘন্টা দ্বারা আপনার গতি.
2. কিলোমিটার বা মাইল দূরত্ব প্রদর্শিত হচ্ছে.
3. টাইমার.
4. ক্লক.
প্রধান কার্যাবলী:
1. স্টার্ট / স্টপ.
2. অবস্থান প্রতি সেকেন্ডে পান.
3. যান ম্যাপ.
4. রেকর্ড দেখুন অবস্থানে সংরক্ষণ করা হয়.
5. সেটিং অভিরুচি.
6. সেটিং গতি সতর্কতা.
7. সংরক্ষণ CSV ফাইল (সীমা অতিক্রম করা বিন্যাস).
8. জানান জিপিএস ফাইল ট্র্যাক.
9. জিপিএস ট্র্যাক ফাইল মুছে ফেলুন.
বর্ণনা:
মানচিত্রে যান: "অবস্থান পান" এ ক্লিক করার পর, আপনি জিও মানচিত্রে আপনার জায়গা দেখতে হবে যে আপনার ডিভাইস সমর্থন - গুগল ম্যাপ বা Waze মানচিত্র, বা অন্য মত.
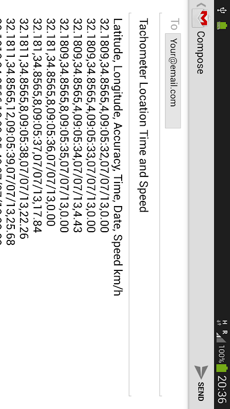
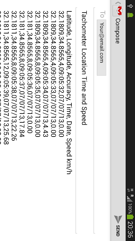
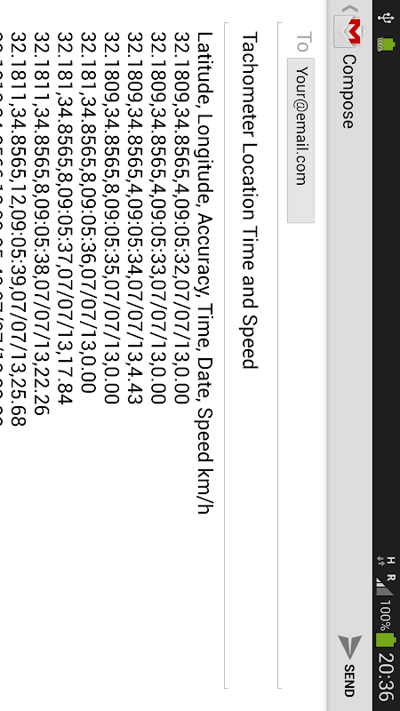
সংরক্ষিত অবস্থান দেখুন: নিম্নলিখিত তথ্য সহ একটি বিস্তারিত টেবিল -
অক্ষাংশ, দ্রাঘিমাংশ, যথার্থতা, সময়, তারিখ, গতি কিমি / ঘঃ.
টেবিলের প্রতিটি সারিতে এক সেকেন্ডে তথ্য সঞ্চিত প্রতিনিধিত্ব করে.
নির্বাচিত সারি এ ক্লিক করে আপনি নির্দিষ্ট দ্বিতীয় জন্য মানচিত্রে জায়গা পাবেন.
সেটিং অগ্রাধিকার
1. গতি সতর্কবার্তা - ঘন্টা সতর্কতা প্রতি গতি কিলোমিটার - বেগ সতর্কতা কিমি / ঘঃ স্বয়ং সেটিং.
2. গতি সতর্কবার্তা - ঘন্টা সতর্কতা প্রতি গতি মাইল - বেগ সতর্কতা মাঃপ্রঃঘঃ স্বয়ং সেটিং.
3. তথ্য পাঠানোর জন্য ইমেইল এবং ফাইল (CSV) এক্সেল.
4. দোকান অবস্থান জিপিএস / নেটওয়ার্ক দ্বারা.
5. সাফ / সব ডেটা মুছে দিন.
6. ফিরে প্রধান পর্দায় যান.
আপনি যে কোন ইমেল যে আপনি চান ডেটা ফাইল (CSV) রপ্তানি করতে পারেন.
সব ফাইল আপনার স্থানীয় ডিভাইসে সংরক্ষিত. আপনি পরিচালনা এবং যে কোনো সময় মুছে দিতে পারেন.
ব্যক্তিগত ব্যবহারের জন্য এই চক্রাকারে আবর্তনের গতিমাপক যঁত্র - শুধুমাত্র আপনার ডিভাইসে ডাটা রেকর্ডিং.
আপনি আপনার কোম্পানীর সার্ভারে অনলাইন ডেটা সংরক্ষণ সঙ্গে বাণিজ্যিক ব্যবহারের জন্য এটি প্রয়োজন - আমাদের সাথে যোগাযোগ করুন.
Androcalc করে নির্মিত
www.androcalc.com উপর আরো বিনামূল্যে Android এর অ্যাপ্লিকেশন
What's new in the latest 1.01
Tachometer APK Information
Tachometer এর পুরানো সংস্করণ
Tachometer 1.01
APKPure অ্যাপের মাধ্যমে অতি দ্রুত এবং নিরাপদ ডাউনলোড করা হচ্ছে
Android-এ XAPK/APK ফাইল ইনস্টল করতে এক-ক্লিক করুন!




