Calculus Quick Reference Free
1.8 MB
Tamanho do arquivo
Everyone
Android 4.0.3+
Android OS
Sobre este Calculus Quick Reference Free
Um aplicativo deve ter para estudantes e aprendizes
Forget taking down calculus formulas on a paper!
Calculus Quick Reference lists down all the important formulas and evaluation techniques used in calculus which makes it easier for you to memorize and apply them in solving problems.
The topics include:
1) Limits (Basic Properties, Basic Limit Evaluations, Evaluation Techniques)
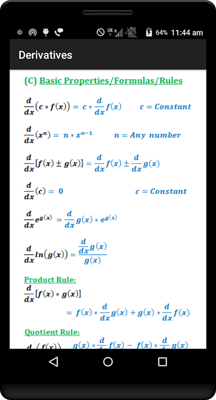
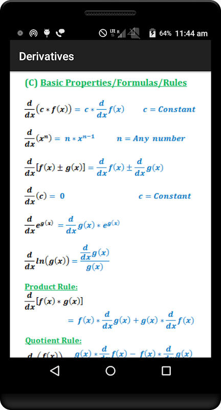
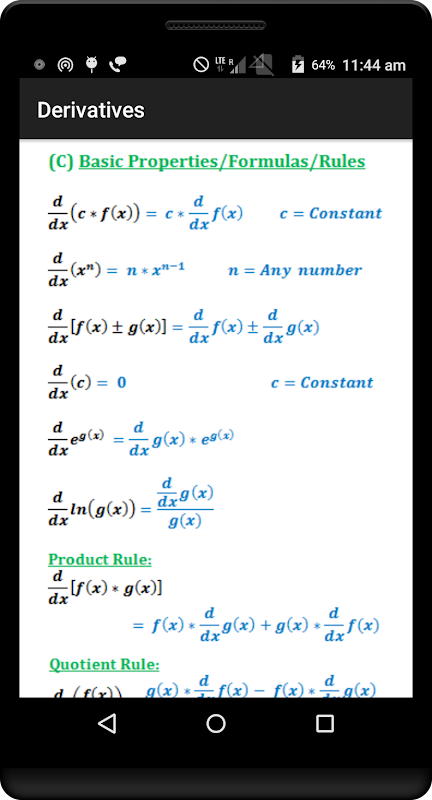
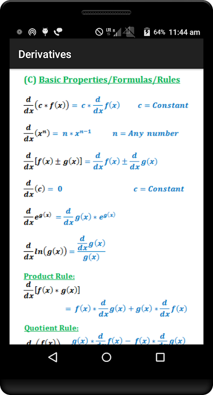
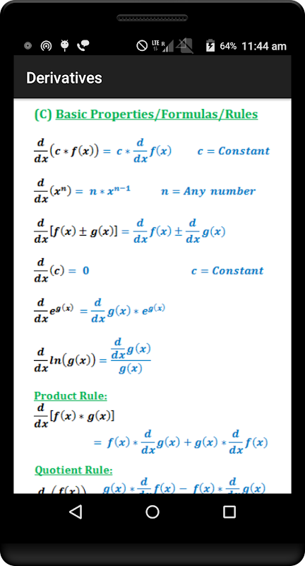
2) Derivatives (Definitions, Basic Properties/Formulas/Rules, Common Derivatives, Conditions for Increasing/Decreasing and Conditions for Concave Up/Concave Down)
3) Integrals formulas/Rules and Standard Evaluation Techniques(u substitution, Integration by Parts, Products and Quotients of Trig Functions, Trigonometric Substitutions and Partial Fractions)
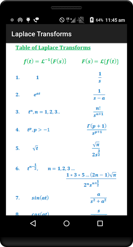
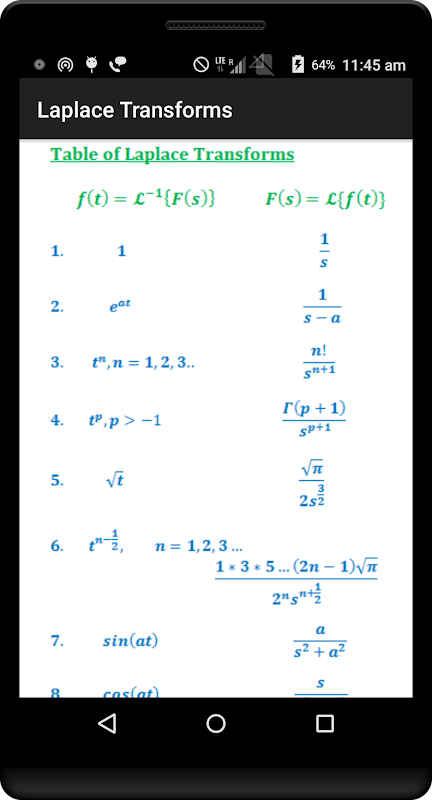
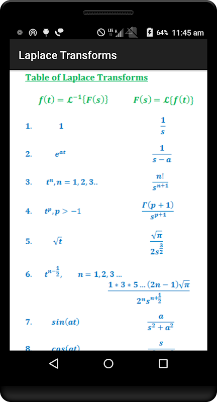
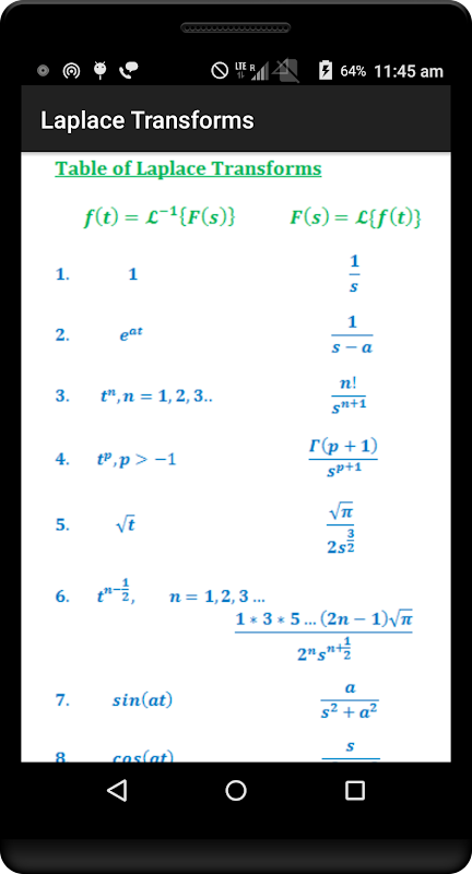
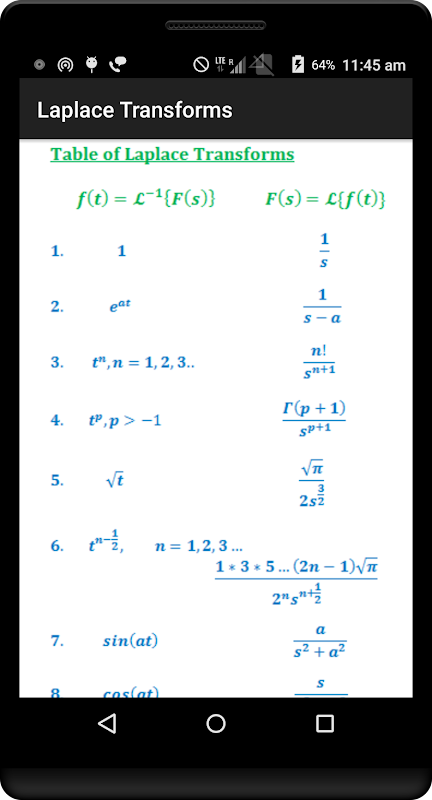
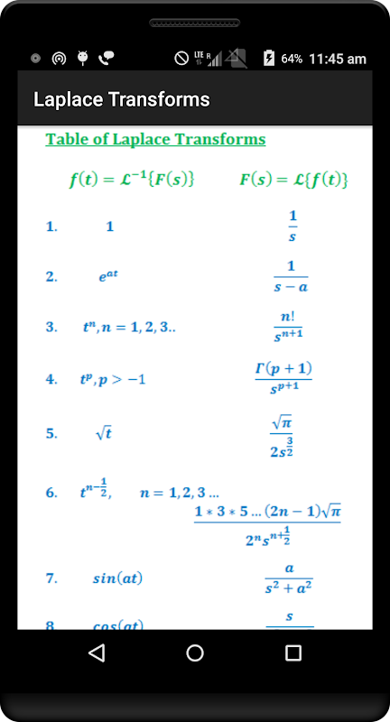
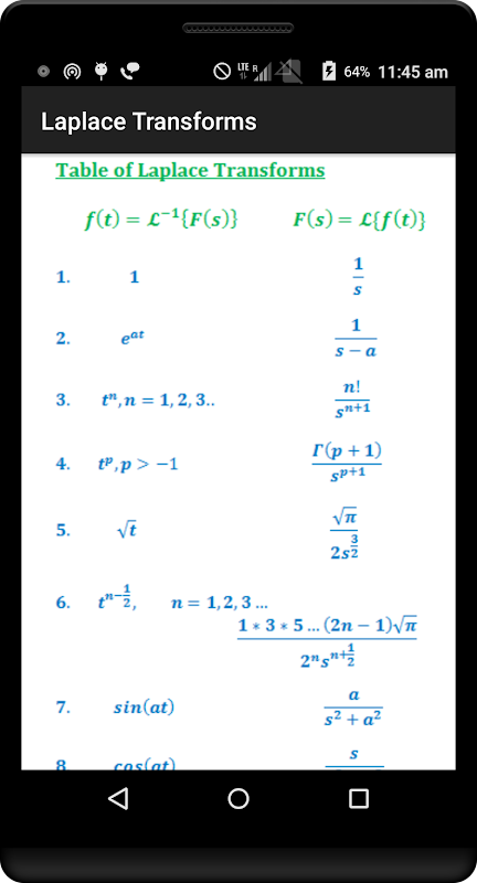
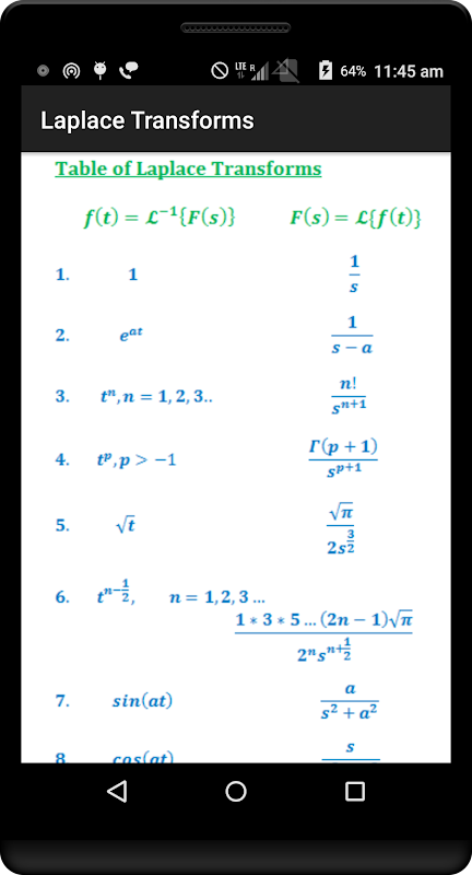
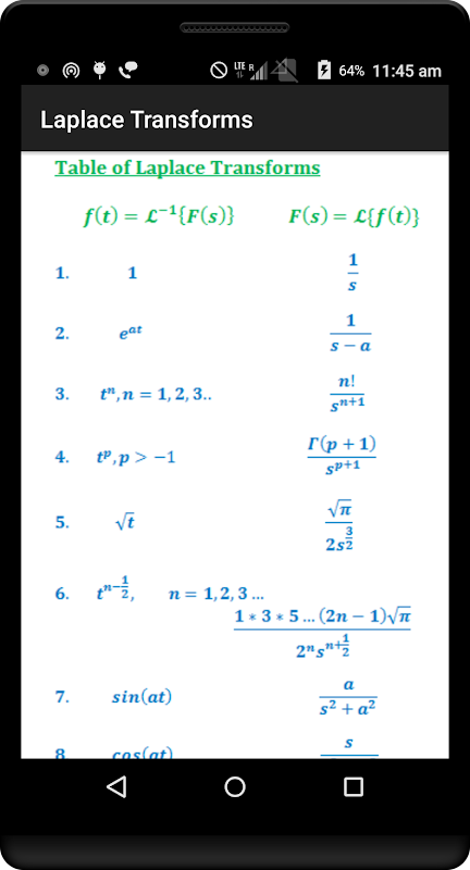
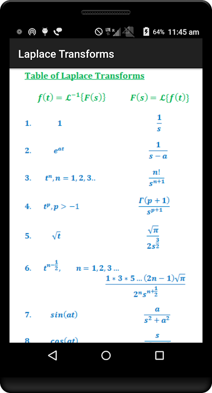
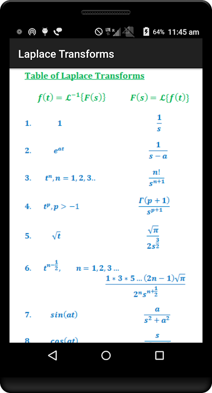
4) Table of Laplace Transforms
Novidades em 1.8 mais recente
- Improved UI
- Content update
- Compatible with 7.X
Informações sobre Calculus Quick Reference Free APK
Versões Antigas de Calculus Quick Reference Free
Calculus Quick Reference Free 1.8
Calculus Quick Reference Free 1.6.5
Baixar de Forma Rápida e Segura via APKPure App
Um clique para instalar arquivos XAPK/APK no Android!





