Calculus Quick Reference hakkında
A must have app for students and learners
Forget taking down calculus formulas on a paper!
Calculus Quick Reference lists down all the important formulas and evaluation techniques used in calculus which makes it easier for you to memorize and apply them in solving problems.
The topics include:
1) Limits (Basic Properties, Basic Limit Evaluations, Evaluation Techniques)
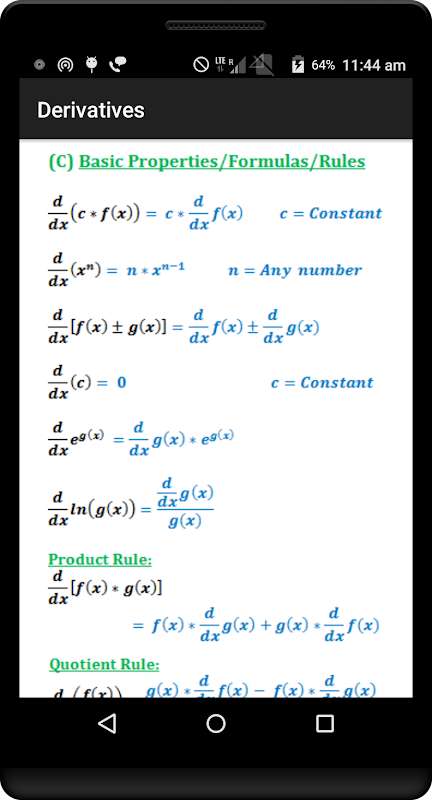
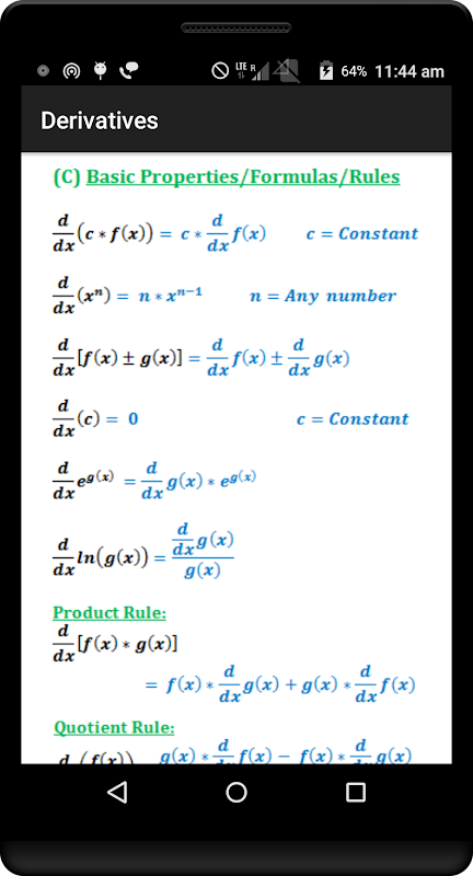
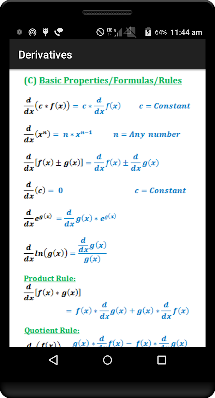
2) Derivatives (Definitions, Basic Properties/Formulas/Rules, Common Derivatives, Conditions for Increasing/Decreasing and Conditions for Concave Up/Concave Down)
3) Integrals formulas/Rules and Standard Evaluation Techniques(u substitution, Integration by Parts, Products and Quotients of Trig Functions, Trigonometric Substitutions and Partial Fractions)
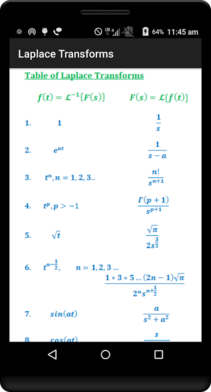
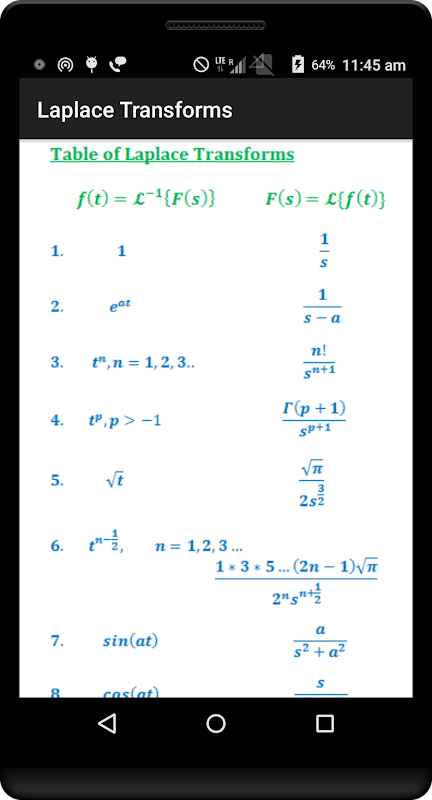
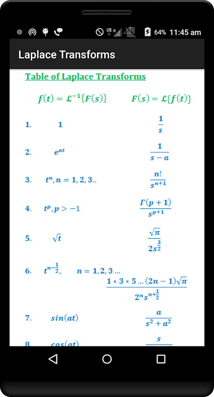
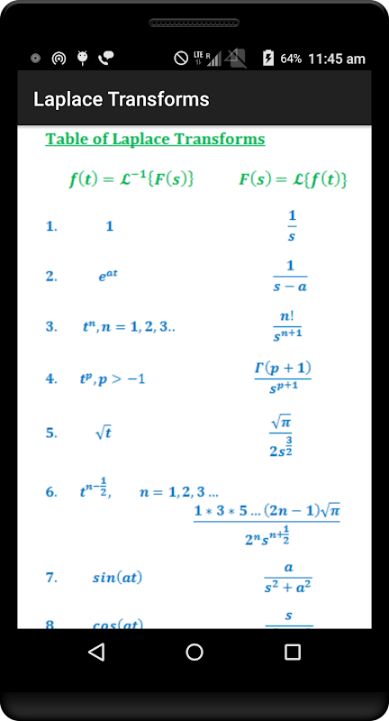
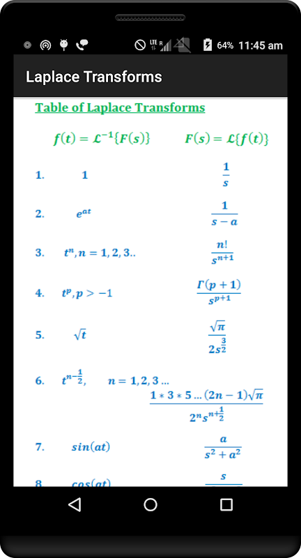
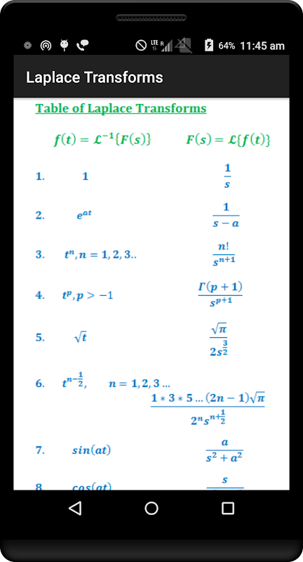
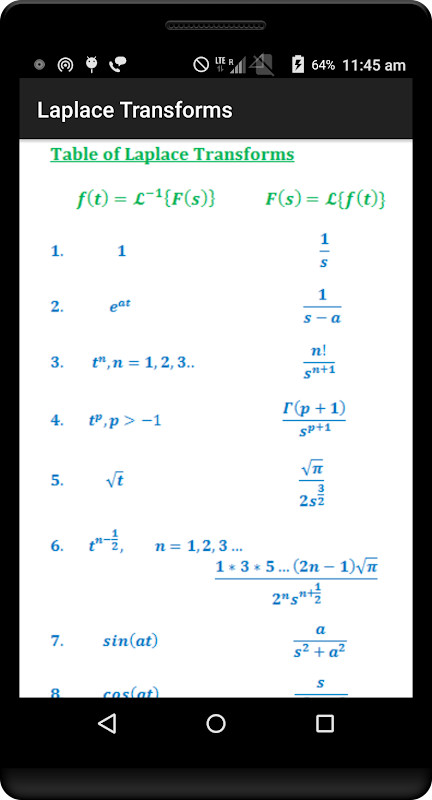
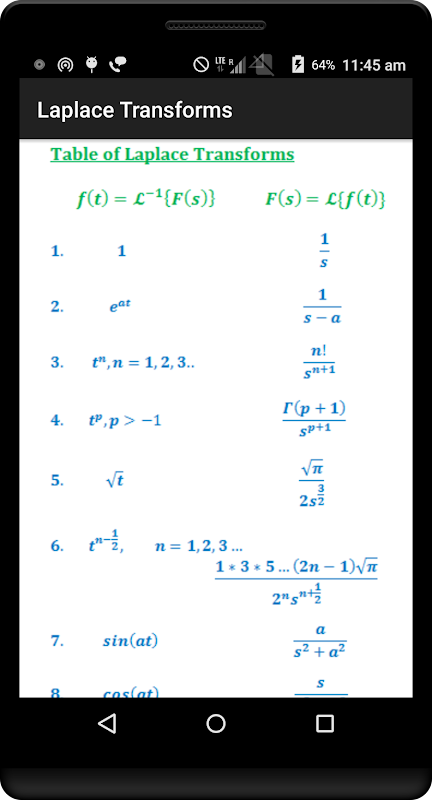
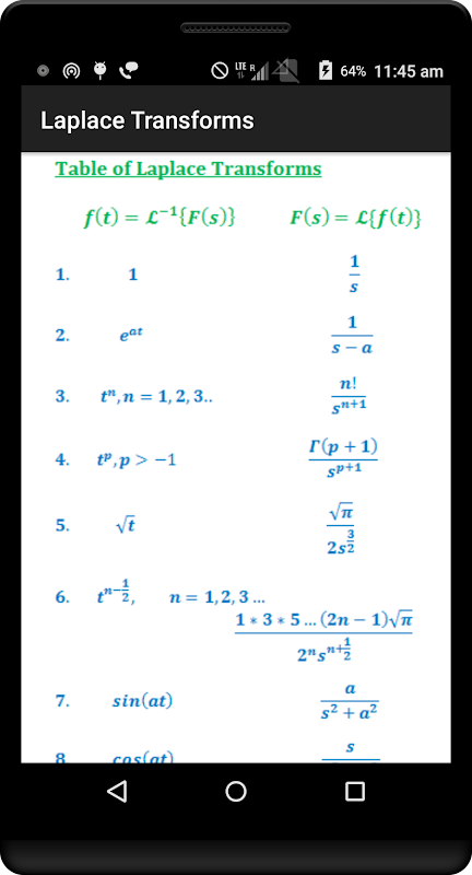
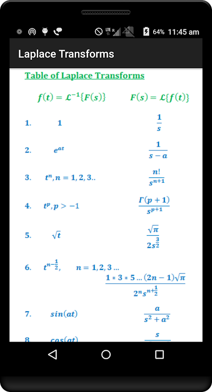
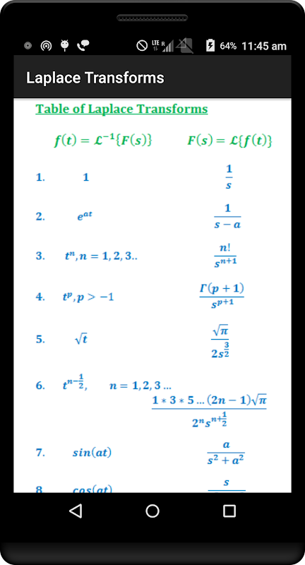
4) Table of Laplace Transforms
What's new in the latest 1.8
- Improved UI
- Content update
- Compatible with 7.X
Calculus Quick Reference APK Bilgileri
Calculus Quick Reference'in eski sürümleri
Calculus Quick Reference 1.8
Calculus Quick Reference 1.6.5
APK Uygulaması ile Süper Hızlı ve Güvenli İndirme
XAPK/APK dosyalarını Android'e yüklemek için tek tıkla!





