Oписание Calculus Quick Reference Free
Должен иметь приложение для студентов и учащихся
Forget taking down calculus formulas on a paper!
Calculus Quick Reference lists down all the important formulas and evaluation techniques used in calculus which makes it easier for you to memorize and apply them in solving problems.
The topics include:
1) Limits (Basic Properties, Basic Limit Evaluations, Evaluation Techniques)
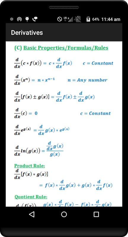
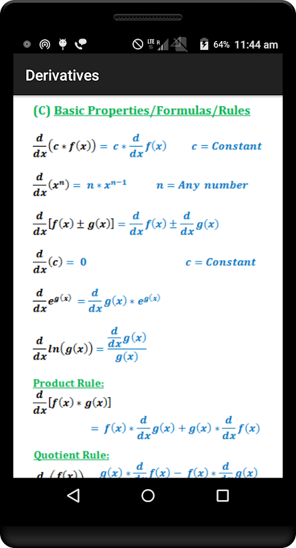
2) Derivatives (Definitions, Basic Properties/Formulas/Rules, Common Derivatives, Conditions for Increasing/Decreasing and Conditions for Concave Up/Concave Down)
3) Integrals formulas/Rules and Standard Evaluation Techniques(u substitution, Integration by Parts, Products and Quotients of Trig Functions, Trigonometric Substitutions and Partial Fractions)
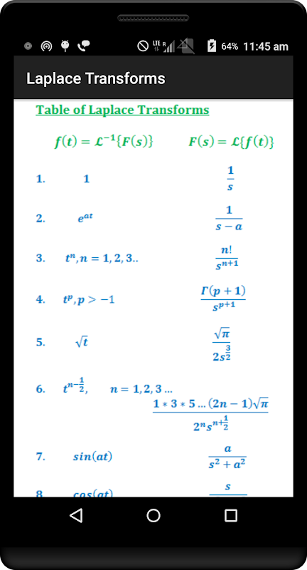
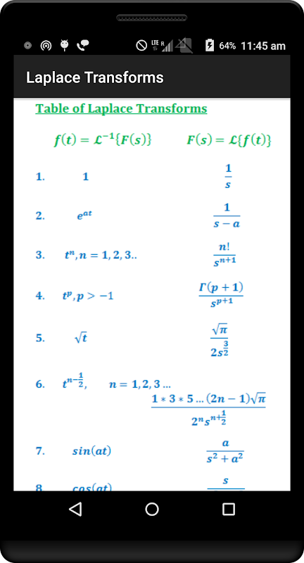
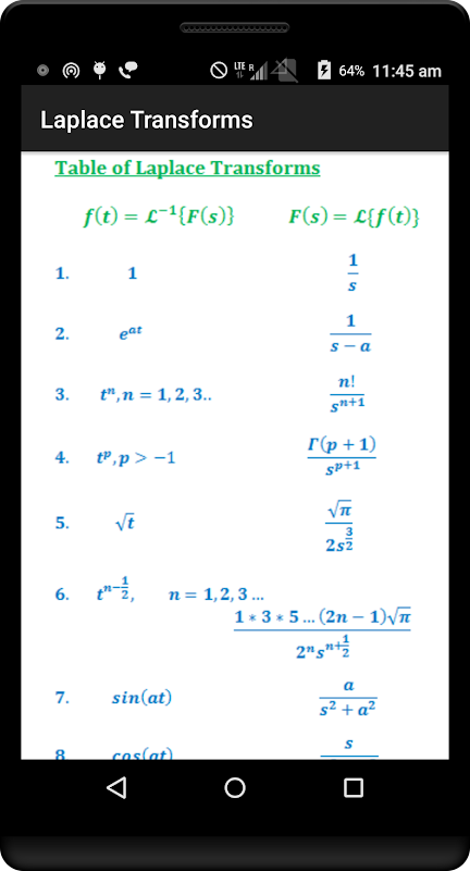
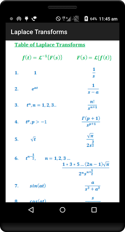
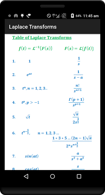
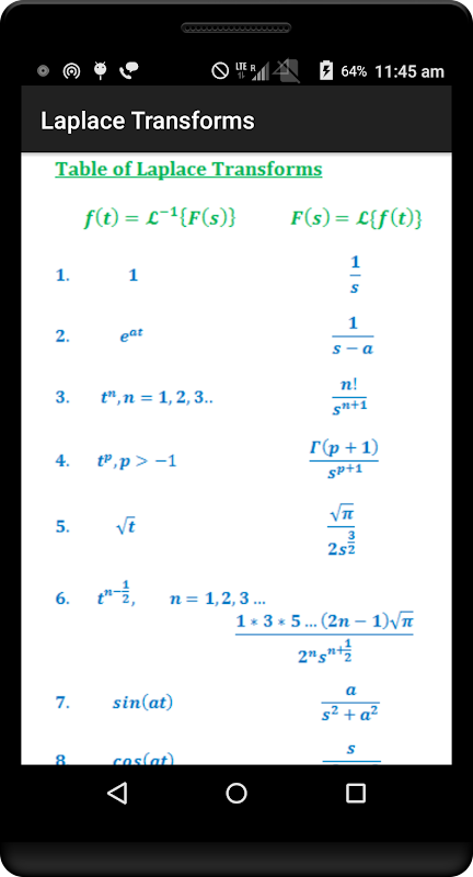
4) Table of Laplace Transforms
Что нового в последней версии 1.8
- Improved UI
- Content update
- Compatible with 7.X
Информация Calculus Quick Reference Free APK
Старые Версии Calculus Quick Reference Free
Calculus Quick Reference Free 1.8
Calculus Quick Reference Free 1.6.5
Супер Быстрая и Безопасная Загрузка через Приложение APKPure
Один клик для установки XAPK/APK файлов на Android!





