Tentang Calculus Quick Reference Free
A harus memiliki aplikasi untuk mahasiswa dan pelajar
Forget taking down calculus formulas on a paper!
Calculus Quick Reference lists down all the important formulas and evaluation techniques used in calculus which makes it easier for you to memorize and apply them in solving problems.
The topics include:
1) Limits (Basic Properties, Basic Limit Evaluations, Evaluation Techniques)
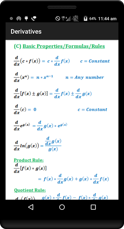
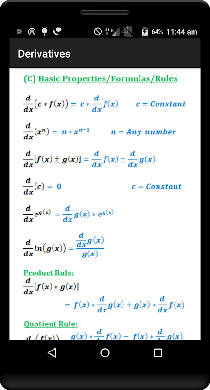
2) Derivatives (Definitions, Basic Properties/Formulas/Rules, Common Derivatives, Conditions for Increasing/Decreasing and Conditions for Concave Up/Concave Down)
3) Integrals formulas/Rules and Standard Evaluation Techniques(u substitution, Integration by Parts, Products and Quotients of Trig Functions, Trigonometric Substitutions and Partial Fractions)
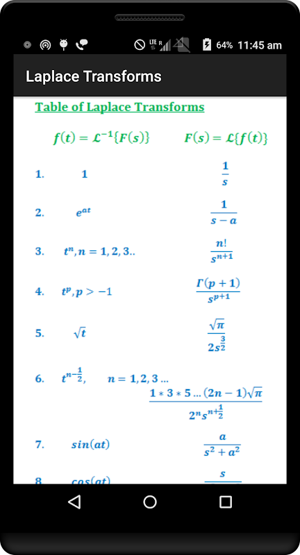
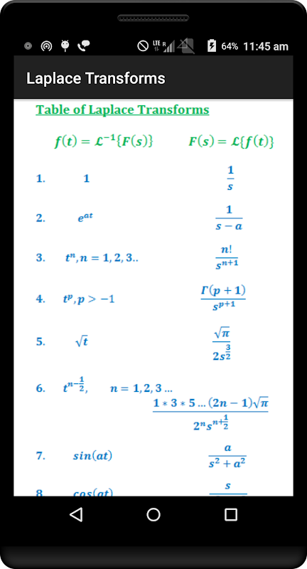
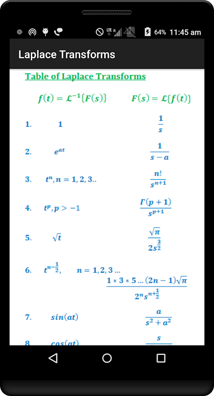
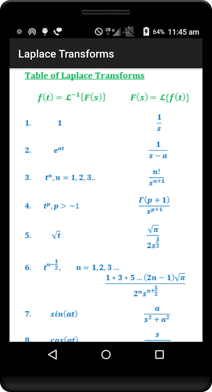
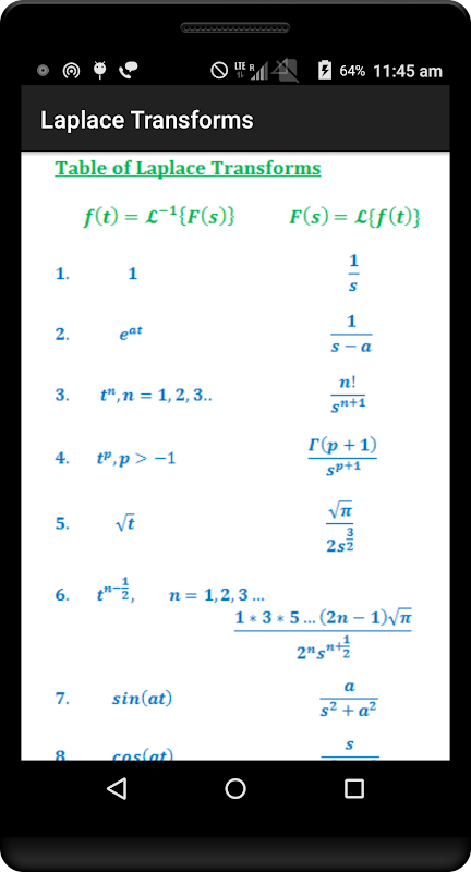
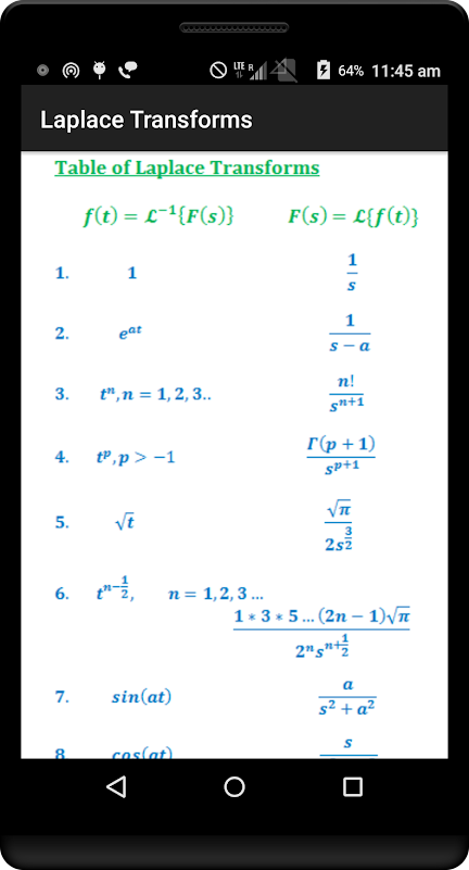
4) Table of Laplace Transforms
What's new in the latest 1.8
- Improved UI
- Content update
- Compatible with 7.X
Informasi APK Calculus Quick Reference Free
Versi lama Calculus Quick Reference Free
Calculus Quick Reference Free 1.8
Calculus Quick Reference Free 1.6.5
Pengunduhan Super cepat dan aman melalui aplikasi APKPure
Sekali klik untuk menginstal file XAPK/APK di Android!





