このCalculus Quick Reference Freeについて
学生や学習者のためのアプリを持っている必要があります
Forget taking down calculus formulas on a paper!
Calculus Quick Reference lists down all the important formulas and evaluation techniques used in calculus which makes it easier for you to memorize and apply them in solving problems.
The topics include:
1) Limits (Basic Properties, Basic Limit Evaluations, Evaluation Techniques)
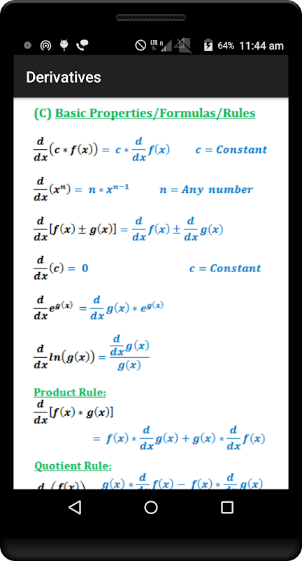
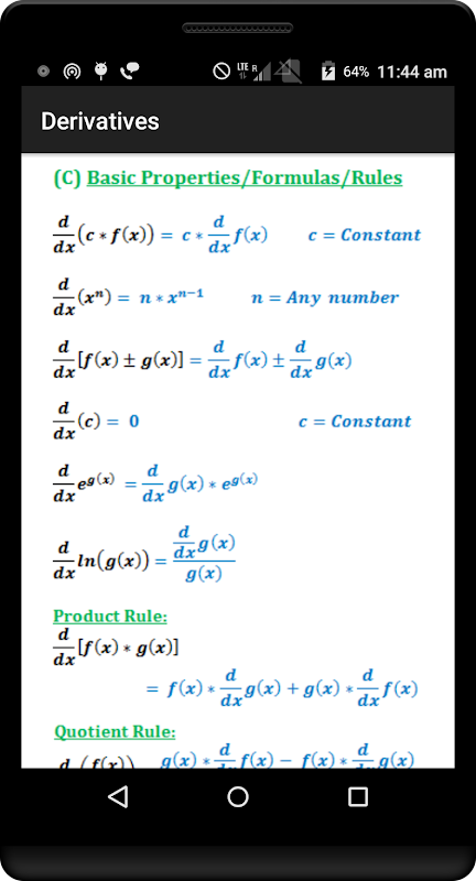
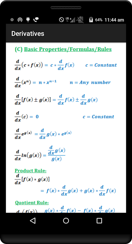
2) Derivatives (Definitions, Basic Properties/Formulas/Rules, Common Derivatives, Conditions for Increasing/Decreasing and Conditions for Concave Up/Concave Down)
3) Integrals formulas/Rules and Standard Evaluation Techniques(u substitution, Integration by Parts, Products and Quotients of Trig Functions, Trigonometric Substitutions and Partial Fractions)
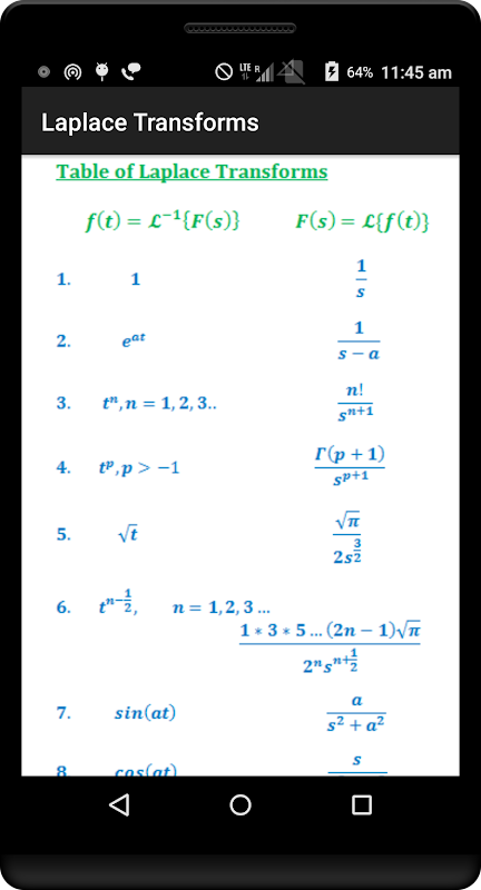
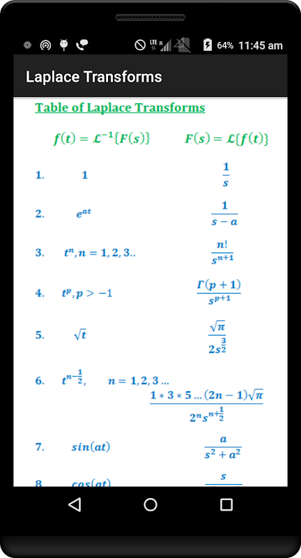
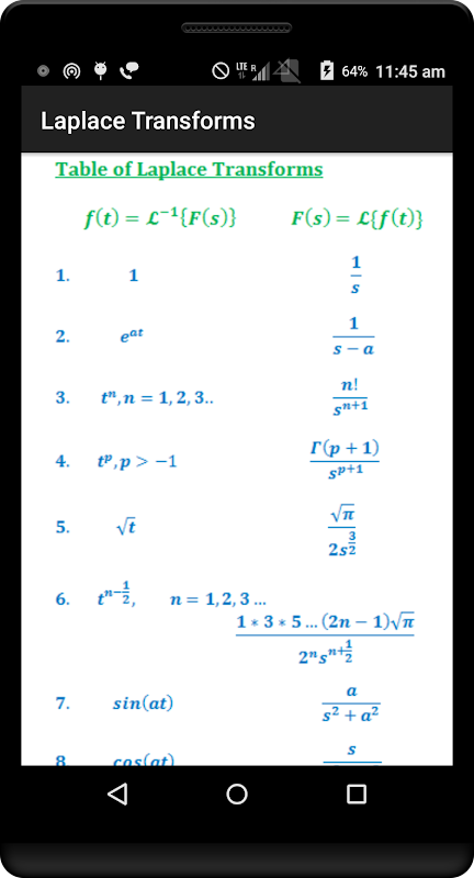
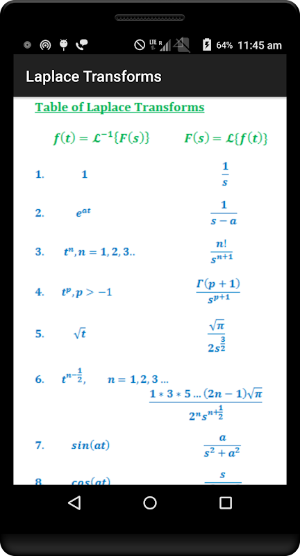
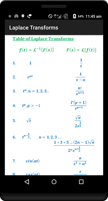
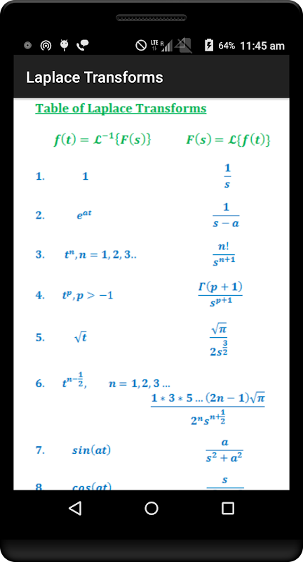
4) Table of Laplace Transforms
最新バージョン 1.8 の更新情報
Last updated on 2017-02-08
- Bug Fixes
- Improved UI
- Content update
- Compatible with 7.X
- Improved UI
- Content update
- Compatible with 7.X
Calculus Quick Reference Free APK 情報
APKPure で安全で高速な APK のダウンロード
APKPure は署名検証を使用して、ウイルスフリーの Calculus Quick Reference Free APK ダウンロードを保証します。
Calculus Quick Reference Freeの旧バージョン
Calculus Quick Reference Free 1.8
1.8 MB2017年02月08日
Calculus Quick Reference Free 1.6.5
306.8 KB2015年09月22日





