關於Calculus Quick Reference Free
必須有一個應用程序,為學生和學生
Forget taking down calculus formulas on a paper!
Calculus Quick Reference lists down all the important formulas and evaluation techniques used in calculus which makes it easier for you to memorize and apply them in solving problems.
The topics include:
1) Limits (Basic Properties, Basic Limit Evaluations, Evaluation Techniques)
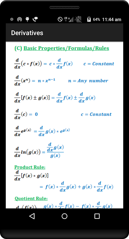
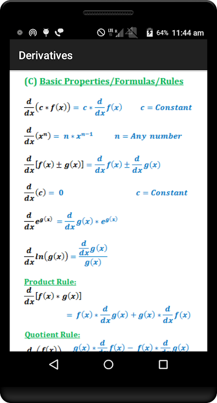
2) Derivatives (Definitions, Basic Properties/Formulas/Rules, Common Derivatives, Conditions for Increasing/Decreasing and Conditions for Concave Up/Concave Down)
3) Integrals formulas/Rules and Standard Evaluation Techniques(u substitution, Integration by Parts, Products and Quotients of Trig Functions, Trigonometric Substitutions and Partial Fractions)
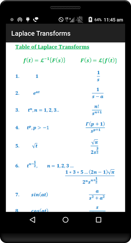
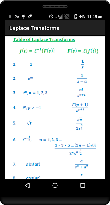
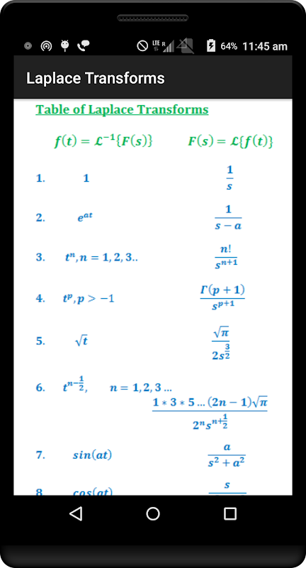
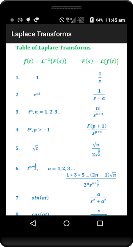
4) Table of Laplace Transforms
最新版本1.8的更新日誌
Last updated on 2017年02月08日
- Bug Fixes
- Improved UI
- Content update
- Compatible with 7.X
- Improved UI
- Content update
- Compatible with 7.X
Calculus Quick Reference Free APK信息
在APKPure安全快速地下載APK
APKPure 使用簽章驗證功能,確保為您提供無病毒的 Calculus Quick Reference Free APK 下載。
Calculus Quick Reference Free歷史版本
Calculus Quick Reference Free 1.8
1.8 MB2017年02月08日
Calculus Quick Reference Free 1.6.5
306.8 KB2015年09月23日





