Calculus Quick Reference Free 정보
학생들과 학습자를위한 응용 프로그램이 있어야합니다
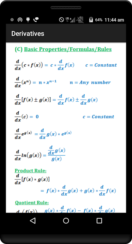
Forget taking down calculus formulas on a paper!
Calculus Quick Reference lists down all the important formulas and evaluation techniques used in calculus which makes it easier for you to memorize and apply them in solving problems.
The topics include:
1) Limits (Basic Properties, Basic Limit Evaluations, Evaluation Techniques)
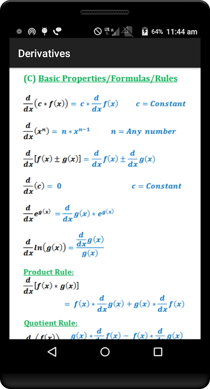
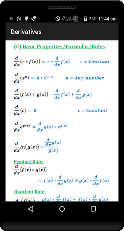
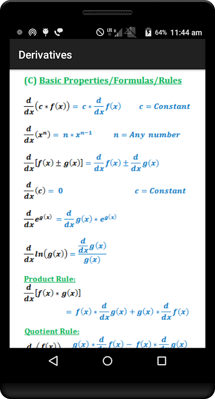
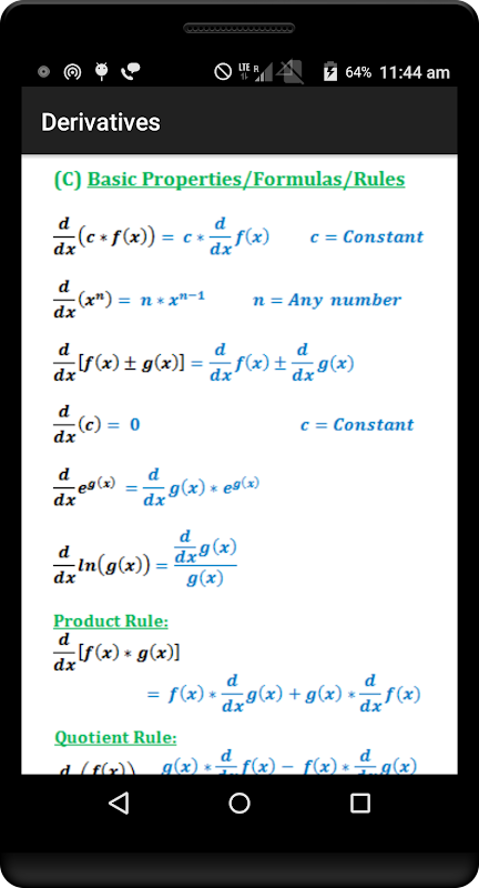
2) Derivatives (Definitions, Basic Properties/Formulas/Rules, Common Derivatives, Conditions for Increasing/Decreasing and Conditions for Concave Up/Concave Down)
3) Integrals formulas/Rules and Standard Evaluation Techniques(u substitution, Integration by Parts, Products and Quotients of Trig Functions, Trigonometric Substitutions and Partial Fractions)
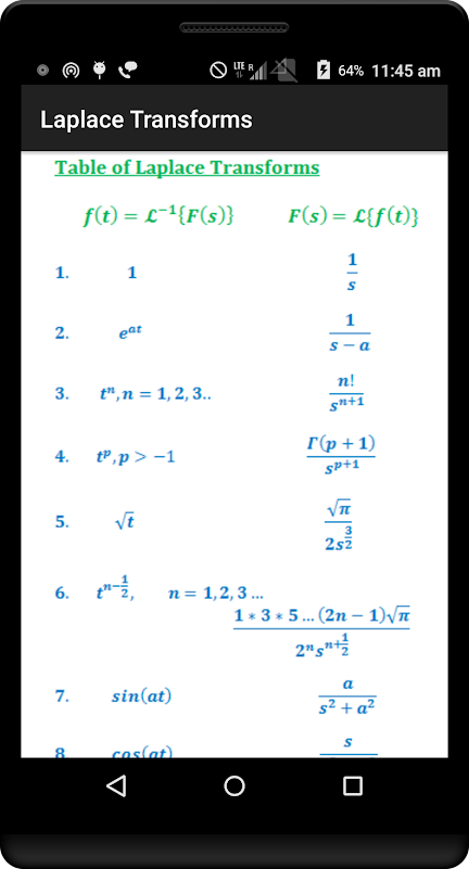
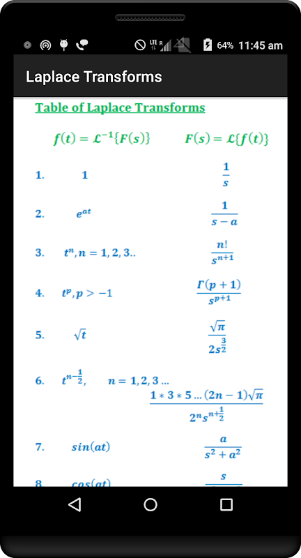
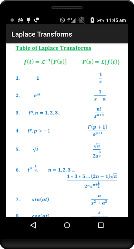
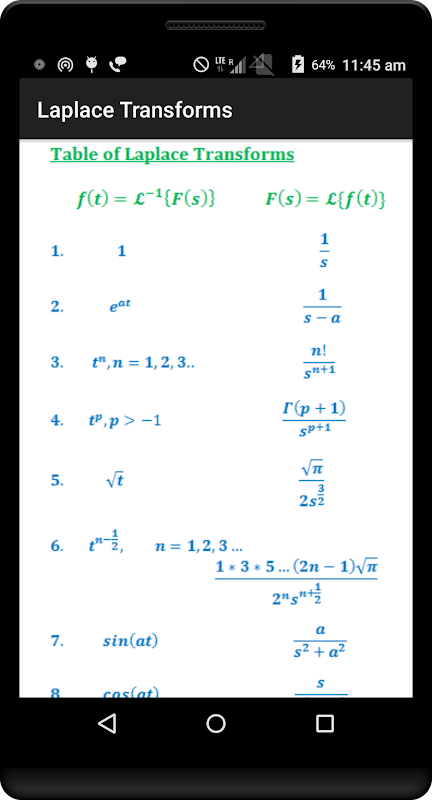
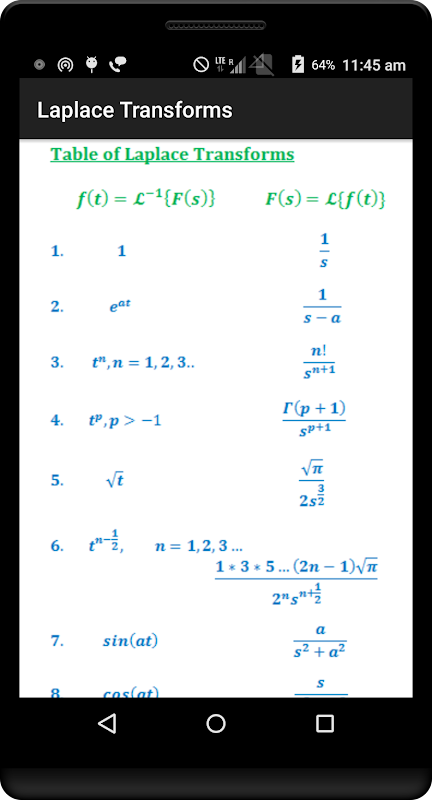
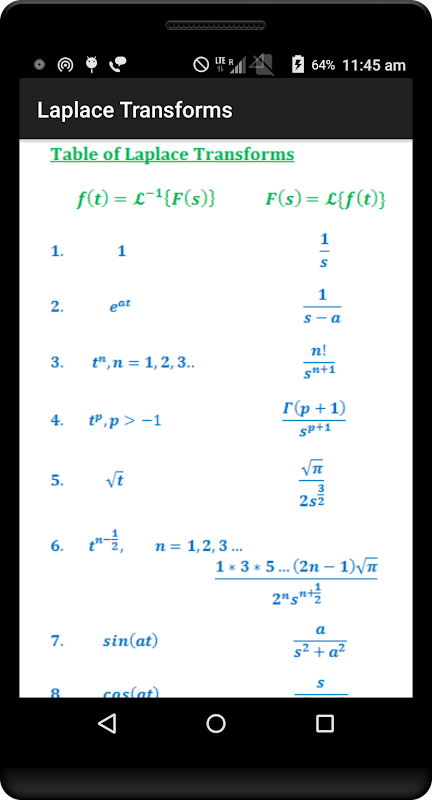
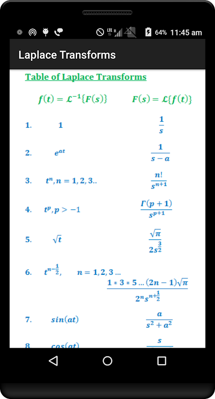
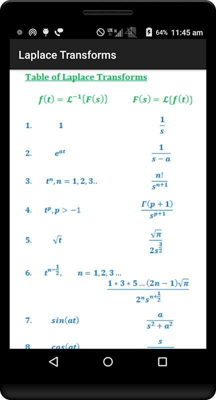
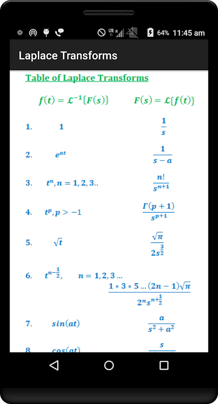
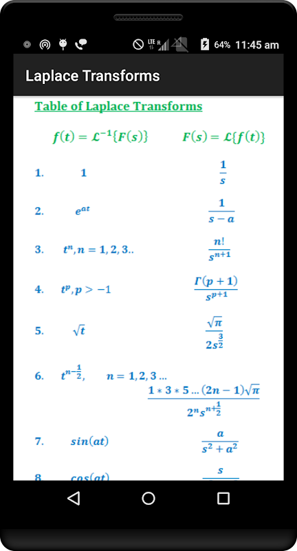
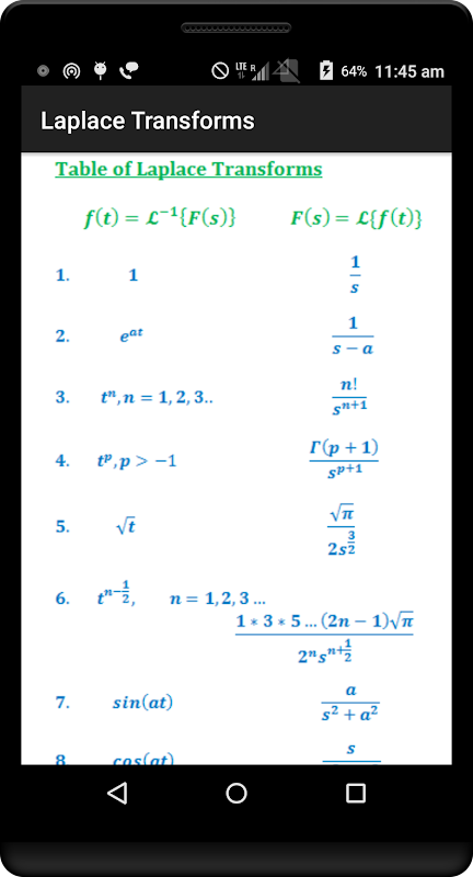
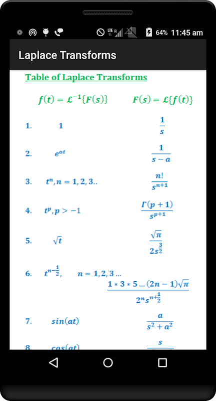
4) Table of Laplace Transforms
What's new in the latest 1.8
Last updated on 2017-02-08
- Bug Fixes
- Improved UI
- Content update
- Compatible with 7.X
- Improved UI
- Content update
- Compatible with 7.X
Calculus Quick Reference Free apk 정보
APKPure에서 안전하고 빠른 APK 다운로드
APKPure는 바이러스 없는 Calculus Quick Reference Free APK 다운로드를 위해 서명 확인을 사용합니다.
Calculus Quick Reference Free의 오래된 버전
Calculus Quick Reference Free 1.8
1.8 MBFeb 8, 2017
Calculus Quick Reference Free 1.6.5
306.8 KBSep 22, 2015





