
I E Irodov Solutions - Part 2
- 31.6 MB - Dimensione 
- Everyone 
- Android 4.1+ - Android OS 
Informazioni su I E Irodov Solutions - Part 2
Parte 2 - I IT Solutions Irodov
Problemi di fisica generale è un testo di fisica da OSSIA Irodov. E 'pubblicato come un set in due volumi. Il libro è ampiamente popolare tra gli studenti che si preparano per gli esami competitivi, in particolare il JEE (esame di ammissione congiunta). E 'considerato come il miglior libro per IIT / JEE preparazione agli esami da parte degli studenti, degli insegnanti.
Parte 4. Oscillazioni e onde
★ 4.1 oscillazioni meccaniche
★ 4.2 oscillazioni elettriche
★ 4.3 onde elastiche. Acustica
★ 4.4 onde elettromagnetiche. Radiazione
Parte 5. Ottica
★ 5.1 Fotometria e ottica geometrica
★ 5.2 interferenza della luce
★ 5.3 diffrazione della luce
★ 5.4 polarizzazione della luce
★ 5.5 Dispersione e assorbimento della luce
★ 5.6 Ottica di Fonti Moving
★ 5.7 radiazione termica. Quantum natura della luce
Parte 6. atomica e Fisica Nucleare
★ 6.1 diffusione delle particelle. Rutherford-Bohr Atom
★ 6.2 proprietà ondulatorie di particelle. Schrodinger Equazione
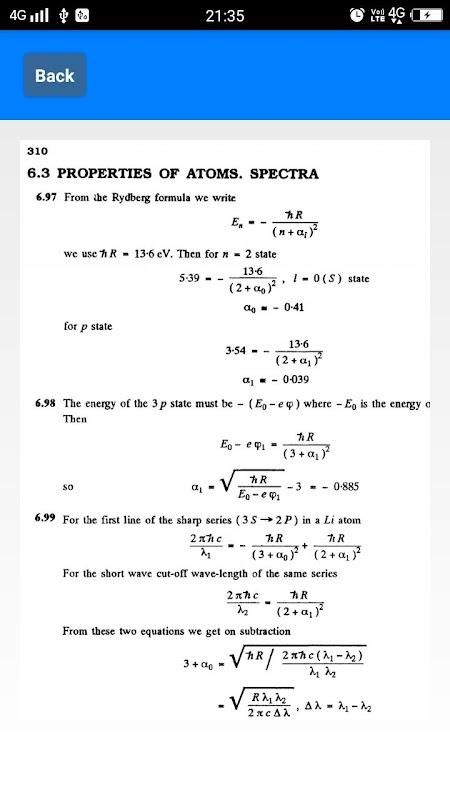
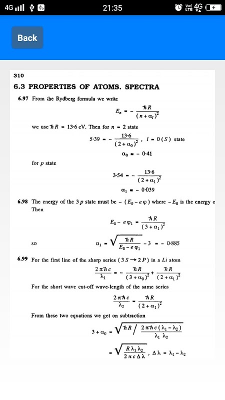
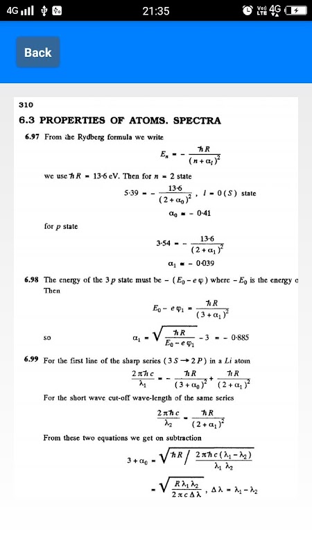
★ 6.3 proprietà degli atomi. Spectra
★ 6.4 Molecole e cristalli
★ 6.5 Radioattività
★ 6.6 reazioni nucleari
★ 6.7 Particelle Elementari
Caratteristiche principali:
★ Questa applicazione è in lingua Inglese facile.
★ semplice applicazione. Funziona offline. Nessun collegamento a Internet necessaria!
★ Professionalmente progettato, facile da usare e l'interfaccia intuitiva.
★ chiaro carattere per una migliore leggibilità.
★ Facile da usare.
★ Zoom Disponibile
What's new in the latest 0.3
Informazioni sull'APK I E Irodov Solutions - Part 2
Vecchie versioni di I E Irodov Solutions - Part 2
I E Irodov Solutions - Part 2 0.3
I E Irodov Solutions - Part 2 0.2

Download super veloce e sicuro tramite l'app APKPure
Basta un clic per installare i file XAPK/APK su Android!


















