
I E Irodov Solutions - Part 2
Devotionalappszone
Oct 20, 2021
- 31.6 MB - 파일 크기 
- Everyone 
- Android 4.1+ - Android OS 
I E Irodov Solutions - Part 2 정보
제 2 부 - I E Irodov 솔루션
일반 물리학의 문제 즉에 의해 물리학 교과서 Irodov. 그것은 두 개의 볼륨 세트로 게시됩니다. 이 책은 경쟁 시험, 특히 JEE (공동 입학 시험)을 준비하는 학생들 사이에 광범위하게 인기가있다. 그것은 학생들이 IIT / JEE 시험 준비, 교사를위한 최고의 책으로 간주됩니다.
제 4 부 진동과 파도
★ 4.1 기계 진동
★ 4.2 전기 진동
★ 4.3 탄성파. 음향학
★ 4.4 전자기 파도. 방사
제 5 부 광학
★ 5.1 측광 및 기하학적 광학
★ 빛의 5.2 간섭
빛의 ★ 5.3 회절
빛의 ★ 5.4 양극화
★ 5.5 분산과 빛의 흡수
이동 소스의 ★ 5.6 광학
★ 5.7 열 방사선. 빛의 양자 자연
6 부 원자 및 핵 물리학
★ 입자의 6.1 산란. 러더 포드 - 보어 아톰
★ 입자의 6.2 웨이브 속성. 슈뢰딩거 방정식
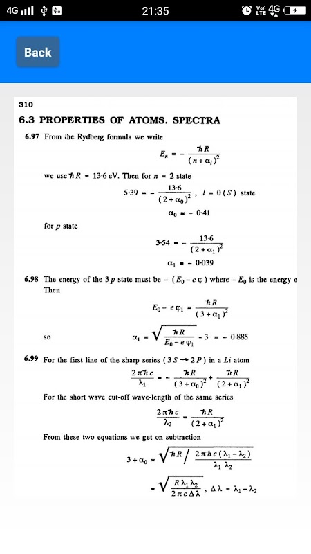
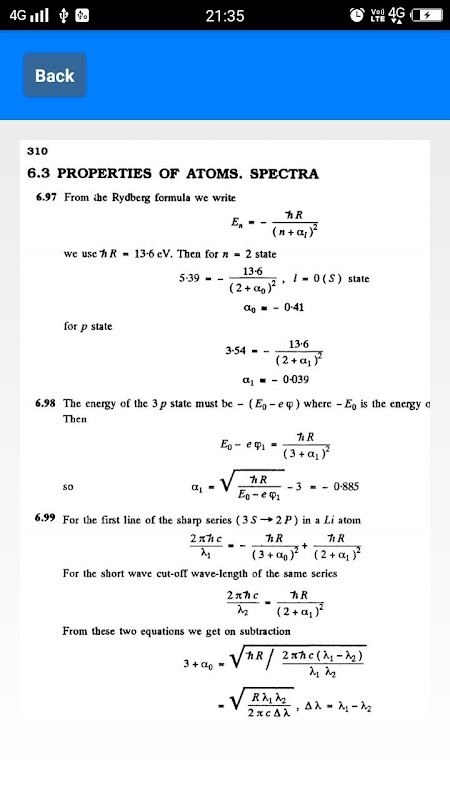
★ 원자의 6.3 속성. 스펙트럼
★ 6.4 분자와 결정
★ 6.5 방사능
★ 6.6 핵 반응
★ 6.7 기본 입자
주요 특징:
★이 응용 프로그램은 쉽게 영어에 있습니다.
★ 간단한 응용 프로그램. 오프라인으로 작동합니다. 인터넷에 연결이 필요하지 않습니다!
★ 전문적으로 설계, 사용자 친화적이고 직관적 인 인터페이스를 제공합니다.
더 나은 가독성을 위해 클리어 글꼴 ★.
★ 사용하기 쉽습니다.
★ 가능한 확대
What's new in the latest 0.3
Last updated on 2021-10-20
Crash and bug fix android version 9.0.
I E Irodov Solutions - Part 2 apk 정보
APKPure에서 안전하고 빠른 APK 다운로드
APKPure는 바이러스 없는 I E Irodov Solutions - Part 2 APK 다운로드를 위해 서명 확인을 사용합니다.
I E Irodov Solutions - Part 2의 오래된 버전
I E Irodov Solutions - Part 2 0.3
31.6 MBOct 20, 2021
I E Irodov Solutions - Part 2 0.2
29.5 MBJul 9, 2018



















