
I E Irodov Solutions - Part 2
Devotionalappszone
2021年10月20日
- 31.6 MB - ファイルサイズ 
- Everyone 
- Android 4.1+ - Android OS 
このI E Irodov Solutions - Part 2について
パート2 - I E Irodovソリューション
一般的な物理学の問題点は、すなわちで物理学の教科書でありますIrodov。これは、2巻のセットとして公開されています。この本は、競争試験、特にJEE(合同入試)の準備の学生の間で広く普及しています。それは、学生、教師によってIIT / JEE試験準備のための最高の本として考えられています。
第4部振動と波
★4.1機械的振動
★4.2電気振動
★4.3弾性波。音響
★4.4電磁波。放射線
第5部オプティクス
★5.1測光と幾何光学
★光の干渉5.2
光の回折★5.3
光の偏光★5.4
★5.5分散し、光の吸収
移動元の★5.6オプティクス
★5.7熱放射。光の量子性
その6原子力と核物理
★粒子の6.1散乱。ラザフォード・ボーア原子
★粒子の6.2波特性。シュレーディンガー方程式
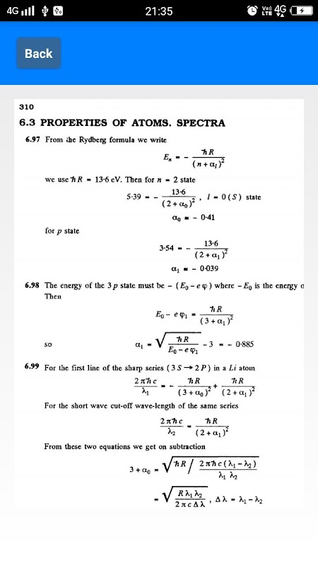
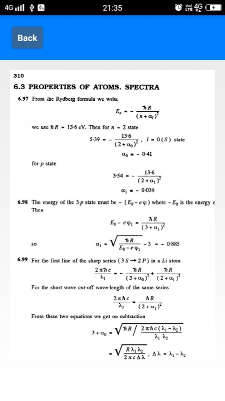
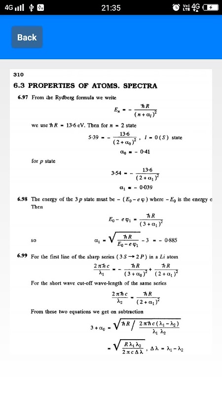
★原子の6.3プロパティ。スペクトル
★6.4分子および結晶
★6.5放射能
★6.6核反応
★6.7素粒子
主な特徴:
★このアプリは、簡単な英語です。
★シンプルなアプリ。オフラインで動作します。いいえ、インターネット接続は必要ありません!
★プロがデザインした、ユーザーフレンドリーで直感的なインターフェイス。
読みやすくするための明確なフォントを★。
★使いやすいです。
★利用可能なズーム
最新バージョン 0.3 の更新情報
Last updated on 2021-10-20
Crash and bug fix android version 9.0.
I E Irodov Solutions - Part 2 APK 情報
APKPure で安全で高速な APK のダウンロード
APKPure は署名検証を使用して、ウイルスフリーの I E Irodov Solutions - Part 2 APK ダウンロードを保証します。
I E Irodov Solutions - Part 2の旧バージョン
I E Irodov Solutions - Part 2 0.3
31.6 MB2021年10月20日
I E Irodov Solutions - Part 2 0.2
29.5 MB2018年07月09日



















