
I E Irodov Solutions - Part 2
- 31.6 MB - ขนาดไฟล์ 
- Everyone 
- Android 4.1+ - Android OS 
เกี่ยวกับ I E Irodov Solutions - Part 2
ส่วนที่ 2 - ฉัน E Irodov โซลูชั่น
ปัญหาในฟิสิกส์ทั่วไปเป็นตำราฟิสิกส์โดย I.E. Irodov มันถูกตีพิมพ์เป็นชุดสองเล่ม หนังสือเล่มนี้เป็นที่นิยมอย่างกว้างขวางในหมู่นักเรียนเตรียมความพร้อมสำหรับการสอบแข่งขันโดยเฉพาะอย่างยิ่ง JEE (ร่วมกันตรวจสอบทางเข้า) ก็ถือว่าเป็นหนังสือที่ดีที่สุดสำหรับการเตรียมสอบไอไอที / JEE โดยนักเรียนครู
ส่วนที่ 4 การแกว่งและคลื่น
★ 4.1 วิศวกรรมแนบแน่น
★ 4.2 แนบแน่นไฟฟ้า
★ 4.3 คลื่นยืดหยุ่น เสียงสะท้อน
★ 4.4 คลื่นแม่เหล็กไฟฟ้า การแผ่รังสี
ส่วนที่ 5. เลนส์
★ 5.1 วัดแสงและเลนส์เรขาคณิต
★ 5.2 การแทรกสอดของแสง
★ 5.3 การเลี้ยวเบนของแสง
★ 5.4 Polarization ของแสง
★ 5.5 การกระจายและการดูดซึมของแสง
★ 5.6 เลนส์ของแหล่งที่มาของการย้าย
★ 5.7 การแผ่รังสีความร้อน ควอนตัมธรรมชาติของแสง
ส่วนที่ 6 อะตอมและฟิสิกส์นิวเคลียร์
★ 6.1 กระเจิงของอนุภาค Rutherford-Bohr Atom
★ 6.2 คุณสมบัติของคลื่นลูกใหม่ของอนุภาค Schrodinger สมการ
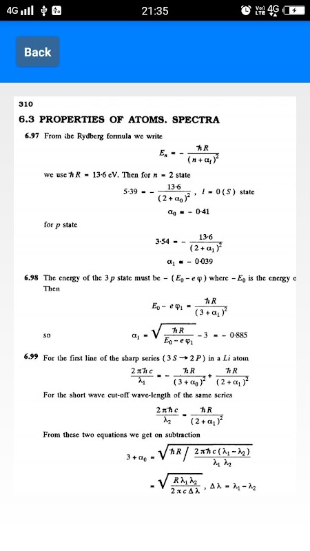
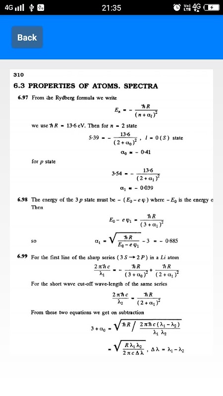
★ 6.3 คุณสมบัติของอะตอม Spectra
★ 6.4 โมเลกุลและ Crystal
★ 6.5 กัมมันตภาพรังสี
★ 6.6 ปฏิกิริยานิวเคลียร์
★ 6.7 อนุภาคมูลฐาน
คุณสมบัติหลัก:
★ app นี้ในที่ง่ายต่อการใช้ภาษาอังกฤษ
★ app ง่าย ทำงานแบบออฟไลน์ ไม่มีการเชื่อมต่ออินเทอร์เน็ตไม่จำเป็น!
★ออกแบบอย่างมืออาชีพใช้งานง่ายและใช้งานง่าย
★ล้างตัวอักษรสำหรับการอ่านได้ง่ายขึ้น
★ง่ายต่อการใช้
★ซูมที่มีอยู่
What's new in the latest 0.3
ข้อมูล I E Irodov Solutions - Part 2 APK
I E Irodov Solutions - Part 2 รุ่นเก่า
I E Irodov Solutions - Part 2 0.3
I E Irodov Solutions - Part 2 0.2

การดาวน์โหลดที่รวดเร็วและปลอดภัยเป็นพิเศษผ่านแอป APKPure
คลิกเพียงครั้งเดียวเพื่อติดตั้งไฟล์ XAPK/APK บน Android!


















