
I E Irodov Solutions - Part 2
- 31.6 MB - Dosya Boyutu 
- Everyone 
- Android 4.1+ - Android OS 
I E Irodov Solutions - Part 2 hakkında
Bölüm 2 - I S Irodov Çözümleri
Genel Fizik problemler I.E. tarafından bir fizik ders kitabı olduğunu Irodov. Bu iki ciltlik seti olarak yayınlanmaktadır. Kitap rekabetçi sınavlar, özellikle JEE (Joint Sınavı) hazırlanan öğrenciler arasında yaygın popüler. Bu öğrenciler tarafından İİT / JEE sınav hazırlık, öğretmenler için en iyi kitap olarak kabul edilir.
Bölüm 4. Titreşimler ve dalgalar
★ 4.1 Mekanik Titreşimler
★ 4.2 Elektrik Salınımlılığı
★ 4.3 Elastik dalgalar. Akustik
★ 4.4 Elektromanyetik dalgalar. Radyasyon
Bölüm 5. Optik
★ 5.1 fotometresi ve Geometrik Optik
★ Işığın 5.2 Girişim
Işığın ★ 5.3 Kırınım
Işığın ★ 5.4 Polarizasyon
★ 5.5 Dağılım ve Işığın emme
Hareketli Sources ★ 5.6 Optik
★ 5.7 Termal Radyasyon. Işığın Kuantum Doğa
Bölüm 6. Atom ve Nükleer Fizik
★ Parçacıkların 6.1 Saçılma. Rutherford-Bohr atom
★ Parçacıkların 6.2 Dalga Özellikleri. Schrödinger Denklemi
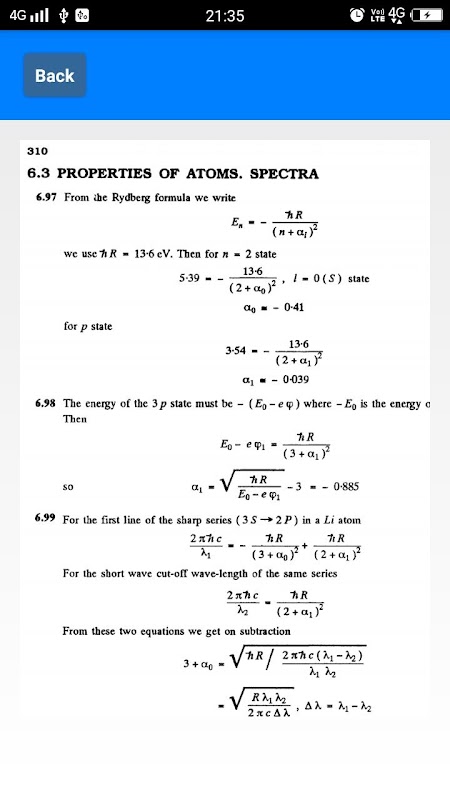
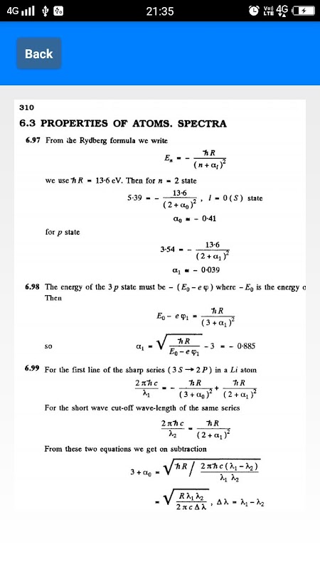
★ Atomların 6.3 Özellikleri. Spectra
★ 6.4 Moleküller ve kristaller
★ 6.5 Radyoaktivite
★ 6.6 nükleer reaksiyonlar
★ 6.7 Temel Parçacıklar
Ana Özellikler:
★ Bu uygulama kolay İngiliz Dili içindedir.
★ Basit bir uygulama. Çevrimdışı çalışır. İnternet bağlantısı yok gerek yok!
★ Profesyonelce tasarlanmış kullanıcı dostu ve sezgisel bir arayüz.
Daha iyi okunabilmesi için net Yazı ★.
★ Kullanımı kolay.
★ Mevcut yakınlaştırma
What's new in the latest 0.3
I E Irodov Solutions - Part 2 APK Bilgileri
I E Irodov Solutions - Part 2'in eski sürümleri
I E Irodov Solutions - Part 2 0.3
I E Irodov Solutions - Part 2 0.2

APK Uygulaması ile Süper Hızlı ve Güvenli İndirme
XAPK/APK dosyalarını Android'e yüklemek için tek tıkla!


















