
I E Irodov Solutions - Part 2
- 31.6 MB - اندازه فایل 
- Everyone 
- Android 4.1+ - Android OS 
دربارهی I E Irodov Solutions - Part 2
قسمت 2 - من E Irodov راه حل
مشکلات موجود در فیزیک عمومی کتاب درسی فیزیک توسط به عنوان مثال است Irodov. آن را به عنوان یک مجموعه دو جلدی منتشر شده است. این کتاب به طور گسترده محبوب در میان دانش آموزان آماده شدن برای امتحانات رقابتی، به ویژه JEE (آزمون ورودی مشترک) است. آن را به عنوان بهترین کتاب برای IIT / JEE آمادگی آزمون های دانش آموزان، معلمان در نظر گرفته.
قسمت 4. نوسان و موج
★ 4.1 نوسانات مکانیکی
★ 4.2 نوسانات برق
★ 4.3 امواج الاستیک. صوت شناسی
★ 4.4 امواج الکترومغناطیسی. تابش
قسمت 5. اپتیک
★ 5.1 نورسنجی و هندسی اپتیک
★ 5.2 تداخل نور
★ 5.3 پراش نور
★ 5.4 قطبش نور
★ 5.5 پراکندگی و جذب نور
★ 5.6 اپتیک از حرکت منابع
★ 5.7 تابش حرارتی. کوانتومی ماهیت نور
قسمت 6. فیزیک اتمی و هسته ای
★ 6.1 پراکندگی ذرات. رادرفورد، بور اتم
★ 6.2 خواص موج از ذرات. شرودینگر معادله
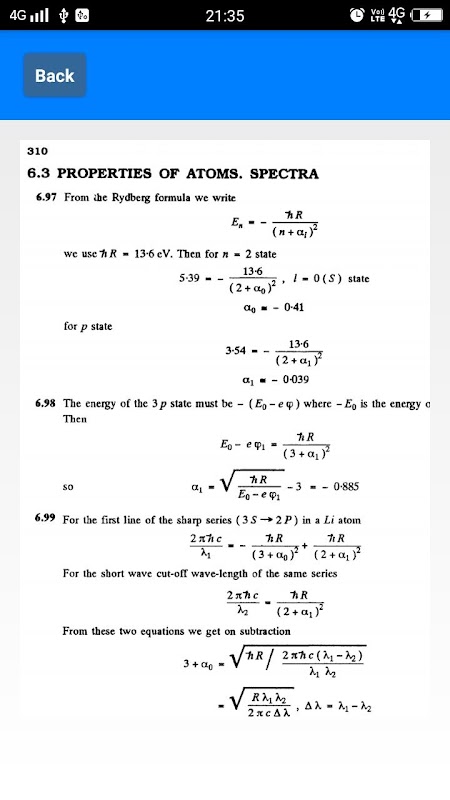
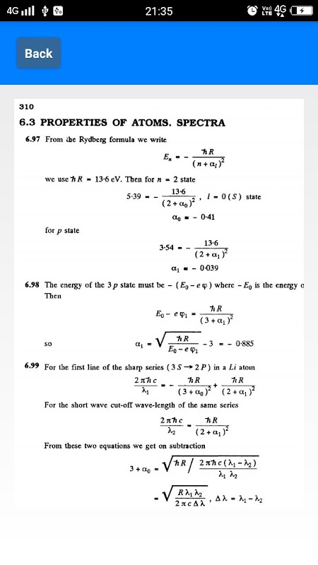
★ 6.3 خواص اتم. طیف
★ 6.4 مولکول ها و کریستال
★ 6.5 رادیو اکتیویته
★ 6.6 واکنشهای هستهای
★ 6.7 ذرات بنیادی
ویژگی های اصلی:
★ این برنامه در آسان زبان انگلیسی است.
★ برنامه ساده است. آنلاین کار می کند. بدون اتصال به اینترنت مورد نیاز است!
★ حرفه ای طراحی شده است، کاربر پسند و رابط بصری.
★ پاک فونت برای خوانایی بهتر است.
★ آسان برای استفاده.
★ زوم موجود
جدیدترین 0.3 چه خبر است
اطلاعات I E Irodov Solutions - Part 2 APK
نسخههای قدیمی I E Irodov Solutions - Part 2
I E Irodov Solutions - Part 2 0.3
I E Irodov Solutions - Part 2 0.2

دانلود فوق سریع و ایمن از طریق برنامه APKPure
برای نصب فایل های XAPK/APK در اندروید با یک کلیک!


















