
I E Irodov Solutions - Part 2
- 31.6 MB - Bestandsgrootte 
- Everyone 
- Android 4.1+ - Android OS 
Over I E Irodov Solutions - Part 2
Deel 2 - I E Irodov Solutions
Problemen in de Algemene natuurkunde is een leerboek door I.E. Irodov. Het wordt gepubliceerd als een twee-volume set. Het boek is op grote schaal populair onder studenten die zich voorbereiden voor een concurrentiegerichte examens, met name de JEE (Joint Entrance Examination). Het wordt beschouwd als het beste boek voor IIT / JEE examen voorbereiding door studenten, docenten.
Deel 4. Trillingen en golven
★ 4.1 mechanische trillingen
★ 4.2 Electric Trillingen
★ 4.3 elastische golven. Akoestiek
★ 4.4 Elektromagnetische golven. bestraling
Deel 5. Optics
★ 5.1 Fotometrie en geometrische optica
★ 5.2 interferentie van licht
★ 5.3 Diffractie of Light
★ 5.4 polarisatie van licht
★ 5.5 Spreiding en absorptie van licht
★ 5.6 Optics of Moving bronnen
★ 5.7 thermische straling. Quantum aard van het licht
Deel 6. Atomic en kernfysica
★ 6.1 Verstrooiing van deeltjes. Rutherford-Bohr Atom
★ 6.2 golf-eigenschappen van deeltjes. Schrödingervergelijking
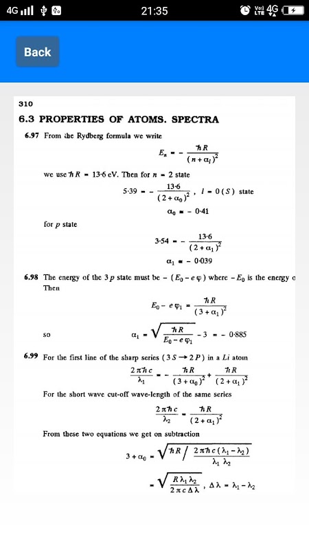
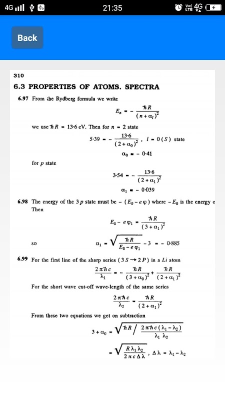
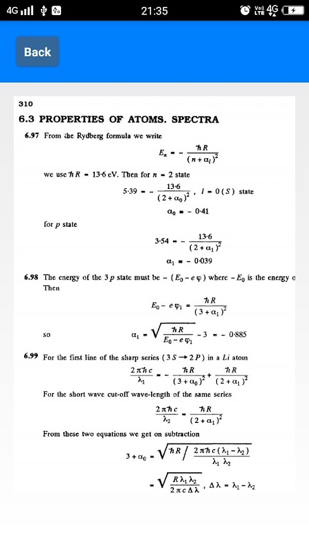
★ 6.3 Eigenschappen van Atoms. spectra
★ 6.4 Molecules and Crystals
★ 6.5 Radioactiviteit
★ 6.6 Kernreacties
★ 6.7 Elementaire Deeltjes
Belangrijkste kenmerken:
★ Deze app is in eenvoudig Engels.
★ Simple app. Werkt offline. Geen internetverbinding nodig!
★ Professioneel ontworpen, gebruiksvriendelijke en intuïtieve interface.
★ Clear Font voor een betere leesbaarheid.
★ Gemakkelijk te gebruiken.
★ Zoomen
What's new in the latest 0.3
I E Irodov Solutions - Part 2 APK -informatie
Oude versies van I E Irodov Solutions - Part 2
I E Irodov Solutions - Part 2 0.3
I E Irodov Solutions - Part 2 0.2

Supersnel en veilig downloaden via de APKPure-app
Eén klik om XAPK/APK-bestanden op Android te installeren!


















