เกี่ยวกับ Numerical Methods & Analysis
คู่มือพื้นฐานของวิธีการเชิงตัวเลข เรียนรู้หัวข้อในหนึ่งนาที
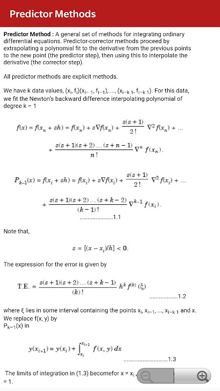
วิธีการเชิงตัวเลข:
แอพนี้เป็นคู่มือฟรีที่สมบูรณ์ของวิธีการเชิงตัวเลขและการวิเคราะห์ ซึ่งครอบคลุมหัวข้อสำคัญ บันทึกย่อ สื่อการสอนในหลักสูตร
แอพนี้แสดงรายการ 77 หัวข้อพร้อมบันทึกโดยละเอียด ไดอะแกรม สมการ สูตร & เนื้อหาหลักสูตร หัวข้อแสดงอยู่ใน 5 บท แอพนี้ต้องมีสำหรับนักศึกษาและผู้เชี่ยวชาญด้านวิศวกรรมศาสตร์ทุกคน
ดาวน์โหลดแอปเป็นเอกสารอ้างอิงและหนังสือดิจิทัลสำหรับหลักสูตรคณิตศาสตร์และวิศวกรรมเครื่องกลและหลักสูตรปริญญา การศึกษานี้ยังใช้อย่างกว้างขวางในปัญญาประดิษฐ์ อัลกอริธึม ระบบเรียลไทม์ และการเรียนรู้ของเครื่อง
แอพนี้ออกแบบมาเพื่อการเรียนรู้ การแก้ไข การอ้างอิงในเวลาของการสอบและการสัมภาษณ์อย่างรวดเร็ว
แอพนี้ครอบคลุมหัวข้อที่เกี่ยวข้องส่วนใหญ่และคำอธิบายโดยละเอียดพร้อมหัวข้อพื้นฐานทั้งหมด
บางหัวข้อที่ครอบคลุมในแอปพลิเคชันนี้คือ:
1. คำตอบของสมการพีชคณิตและสมการยอดเยี่ยม
2. วิธีการแก้รากของสมการพหุนาม
3. การประมาณเบื้องต้นสำหรับกระบวนการวนซ้ำ
4. วิธีการวางตำแหน่งเท็จ
5. วิธีนิวตัน-ราฟสัน
6. วิธีการวนซ้ำทั่วไป
7. การบรรจบกันของวิธีการวนซ้ำ
8. ระบบเชิงเส้นของสมการพีชคณิต
9. วิธีแก้ระบบเชิงเส้นตรง
10. วิธีกำจัด Guass
11. วิธี Guass Jordan
12. วิธีการวนซ้ำ
13. วิธีเกาส์-จาโคบีซ้ำ
14. วิธีการวนซ้ำแบบเกาส์-ไซเดล
15. ปัญหาค่า Eigen
16. วิธีพลังงาน
17. การแก้ไข
18. การแก้ไขลากรองจ์
19. การแก้ไขเชิงเส้น
20. การประมาณค่ากำลังสอง
21. ข้อผิดพลาดของการแก้ไข
22. ความแตกแยก
23. การประมาณค่าความแตกต่างแบบแบ่งส่วนของนิวตัน
24. การแก้ไขด้วยจุดที่เว้นระยะเท่ากัน
25. ความสัมพันธ์ระหว่างความแตกต่างและอนุพันธ์
26. สูตรผลต่างไปข้างหน้าของนิวตัน
27. สูตรการประมาณค่าความแตกต่างย้อนหลังของนิวตัน
28. ฟังก์ชัน Spline
29. การแก้ไขลูกบาศก์
30. ความแตกต่างเชิงตัวเลข
31. อนุพันธ์โดยใช้สูตรส่วนต่างไปข้างหน้าของนิวตัน
32. อนุพันธ์โดยใช้สูตรผลต่างย้อนหลังของนิวตัน
33. อนุพันธ์โดยใช้สูตรผลต่างหาร
34. กฎการรวมตัวเลขและการรวมตามการเว้นวรรคตาข่ายสม่ำเสมอ
35. กฎสี่เหลี่ยมคางหมู
36. ข้อผิดพลาดในกฎสี่เหลี่ยมคางหมู
37. กฎคอมโพสิตสี่เหลี่ยมคางหมู
38. กฎ 1/3 ของ Simpson
39. ข้อผิดพลาดในกฎ 1/3 ของ Simpson
40. กฎ 1/3 ของคอมโพสิตซิมป์สัน
41. กฎ 3/8 ของ Simsom
42. วิธี Romberg
43. วิธี Romberg สำหรับกฎสี่เหลี่ยมคางหมู
44. วิธี Romberg สำหรับกฎ 1/3 ของ Simpson
45. กฎการรวม Gauss-Legendre
46. กฎจุดเดียวของเกาส์ (กฎจุดเดียวของ Gauss-Legendre)
47. กฎ Gauss Two point (กฎ Gauss-Legendre Two point)
48. กฎ Gauss Three point (กฎ Gauss-Legendre Three point)
49. การประเมิน Double Intergral โดยใช้ Trapezium Rule
50. การประเมิน Double Intergral โดยใช้กฎของ Simpson
51. ความรู้เบื้องต้นเกี่ยวกับปัญหาค่าเริ่มต้นสำหรับสมการเชิงอนุพันธ์สามัญ
52. การลดสมการลำดับที่สองเป็นระบบลำดับที่หนึ่ง
53. วิธีขั้นตอนเดียว
54. วิธีการหลายขั้นตอน
55. เทย์เลอร์ซีรีส์เมธอด
56. ดัดแปลงออยเลอร์หรือวิธีการของฮอน
57. วิธีรุ่งกุฏิ
แต่ละหัวข้อจะสมบูรณ์ด้วยไดอะแกรม สมการ และรูปแบบอื่นๆ ของการแสดงกราฟิกเพื่อการเรียนรู้และความเข้าใจที่รวดเร็วยิ่งขึ้น
หัวข้อทั้งหมดไม่อยู่ในรายการเนื่องจากข้อจำกัดของอักขระ
คุณสมบัติ :
* บทที่ฉลาดสมบูรณ์หัวข้อ
* เค้าโครง UI ที่หลากหลาย
* โหมดอ่านที่สะดวกสบาย
* หัวข้อการสอบที่สำคัญ
* ส่วนต่อประสานผู้ใช้ที่ง่ายมาก
* ครอบคลุมหัวข้อส่วนใหญ่
* คลิกเดียวรับหนังสือทั้งหมดที่เกี่ยวข้อง
* เนื้อหาที่ปรับให้เหมาะกับมือถือ
* รูปภาพที่ปรับให้เหมาะกับมือถือ
แอพนี้มีประโยชน์สำหรับการอ้างอิงอย่างรวดเร็ว การแก้ไขแนวคิดทั้งหมดสามารถทำได้ภายในไม่กี่ชั่วโมงโดยใช้แอพนี้
วิธีการเชิงตัวเลขและการวิเคราะห์เป็นส่วนหนึ่งของหลักสูตรการศึกษาคณิตศาสตร์และวิศวกรรมเครื่องกล และหลักสูตรปริญญาด้านเทคโนโลยีของมหาวิทยาลัยต่างๆ
แทนที่จะให้คะแนนเราที่ต่ำกว่า โปรดส่งอีเมลถึงข้อสงสัย ปัญหา และให้คะแนนและข้อเสนอแนะที่มีค่าแก่เรา เพื่อให้เราสามารถพิจารณาสำหรับการอัปเดตในอนาคต เรายินดีที่จะแก้ปัญหาให้กับคุณ
What's new in the latest 11.0
ข้อมูล Numerical Methods & Analysis APK
Numerical Methods & Analysis รุ่นเก่า
Numerical Methods & Analysis 11.0
Numerical Methods & Analysis 1.8
Numerical Methods & Analysis 1.6
Numerical Methods & Analysis 1.5

การดาวน์โหลดที่รวดเร็วและปลอดภัยเป็นพิเศษผ่านแอป APKPure
คลิกเพียงครั้งเดียวเพื่อติดตั้งไฟล์ XAPK/APK บน Android!