เกี่ยวกับ Engineering Maths 1
คณิตศาสตร์วิศวกรรม: คู่มือฉบับสมบูรณ์เพื่อการเรียนรู้อย่างรวดเร็วและการแก้ไข
คณิตศาสตร์วิศวกรรมด้วยแอพมือถือฟรีและครอบคลุมนี้!
ออกแบบมาสำหรับนักศึกษาวิศวกรรมศาสตร์ แอปนี้ครอบคลุมหัวข้อสำคัญ 80 หัวข้อโดยละเอียด ครอบคลุม 5 บท ทำให้แอปนี้เป็นเพื่อนคู่ใจในการเรียนรู้ ทบทวน และเตรียมตัวสอบหรือสัมภาษณ์
ด้วยคำอธิบาย แผนภาพ สมการ และสูตรที่ชัดเจน แอปนี้นำเสนอความเข้าใจเชิงลึกเกี่ยวกับแนวคิดทางคณิตศาสตร์ที่สำคัญ ไม่ว่าคุณกำลังเรียนเพื่อสอบหรือต้องการข้อมูลอ้างอิงอย่างรวดเร็วในระหว่างการมอบหมายงาน แอปนี้จะช่วยให้คุณเชี่ยวชาญหัวข้อที่สำคัญได้อย่างรวดเร็ว
คุณสมบัติที่สำคัญ:
เนื้อหาครอบคลุม 80 หัวข้อ: บันทึกโดยละเอียด คำอธิบาย และตัวอย่างที่ครอบคลุมหัวข้อคณิตศาสตร์วิศวกรรมที่จำเป็นทั้งหมด
5 บทที่มีโครงสร้างดี: เนื้อหาที่จัดระเบียบเพื่อการเรียนรู้อย่างเป็นระบบ
ไดอะแกรมและสูตรที่ชัดเจน: ภาพช่วยและสูตรทางคณิตศาสตร์ที่จำเป็นเพื่อให้เข้าใจได้ง่ายขึ้น
ปรับให้เหมาะสมสำหรับการเรียนรู้อย่างรวดเร็ว: เหมาะสำหรับการแก้ไขข้อสอบ การสัมภาษณ์ หรือเป็นแนวทางอ้างอิงโดยย่อ
อินเทอร์เฟซที่เหมาะกับมือถือ: ออกแบบมาเพื่อการนำทางและการดูที่ง่ายดาย ปรับให้เหมาะกับอุปกรณ์มือถือ
อินเทอร์เฟซที่ใช้งานง่าย: ประสบการณ์ที่เป็นมิตรกับผู้ใช้ที่ทำให้การเรียนรู้ง่ายและมีประสิทธิภาพ
หัวข้อที่ครอบคลุม:
ทฤษฎีบทไลบ์นิทซ์
ปัญหาเกี่ยวกับทฤษฎีบทไลบ์นิทซ์
แคลคูลัสเชิงอนุพันธ์-I
รัศมีความโค้ง
รัศมีความโค้งในรูปแบบพาราเมตริก
ปัญหาเรื่องรัศมีความโค้ง
รัศมีความโค้งในรูปแบบขั้วโลก
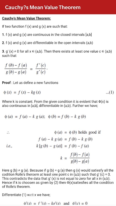
ทฤษฎีบทค่าเฉลี่ยของคอชี
ทฤษฎีบทของเทย์เลอร์
ปัญหาเกี่ยวกับทฤษฎีบทพื้นฐาน
อนุพันธ์บางส่วน
สมการออยเลอร์-ลากรองจ์
การติดตามเส้นโค้ง
การเปลี่ยนแปลงทฤษฎีบทตัวแปร
ปัญหาเกี่ยวกับแคลคูลัสเชิงอนุพันธ์ I
แบบฟอร์มไม่แน่นอน
ปัญหาเกี่ยวกับกฎของโรงพยาบาล
แบบฟอร์มไม่แน่นอนต่างๆ
ปัญหาเกี่ยวกับแบบฟอร์มไม่แน่นอนต่างๆ
ทฤษฎีบทของเทย์เลอร์สำหรับฟังก์ชันของสองตัวแปร
ปัญหาเกี่ยวกับทฤษฎีบทของเทย์เลอร์
ค่าสูงสุดและค่าต่ำสุดของฟังก์ชันของสองตัวแปร
ปัญหาเกี่ยวกับค่าสูงสุดและค่าต่ำสุดของฟังก์ชันของสองตัวแปร
วิธีตัวคูณไม่ทราบแน่ชัดของลากรองจ์
ปัญหาเกี่ยวกับวิธีการของลากรองจ์
เส้นโค้งขั้วโลก
ปัญหาบนเส้นโค้งขั้วโลก
จาโคเบียนแห่งการเปลี่ยนแปลง
สุดขีดของฟังก์ชันของตัวแปรหลายตัว
ปัญหาแคลคูลัสเชิงอนุพันธ์ II
อินทิกรัลหลายรายการ
ปัญหาเกี่ยวกับอินทิกรัลหลายตัว
อินทิกรัลสองเท่าโดยการเปลี่ยนลำดับของการอินทิเกรต
การประยุกต์กับพื้นที่และปริมาตร
ปัญหาเกี่ยวกับการประยุกต์กับพื้นที่และปริมาตร
ฟังก์ชันเบต้าและแกมมา
ความสัมพันธ์ระหว่างฟังก์ชันเบต้าและแกมมา
ปัญหาเกี่ยวกับฟังก์ชันเบต้าและแกมมา
อินทิกรัลดิริชเลต์
อนุกรมอินทิกรัลดิริชเลต์และฟูริเยร์
ปัญหาเกี่ยวกับปริพันธ์ไดริชเลต์
ปริพันธ์สามเท่า
ปริพันธ์สามเท่าโดยใช้พิกัดทรงกระบอก
ปัญหาเกี่ยวกับปริพันธ์
คำถามเชิงวัตถุประสงค์เกี่ยวกับปริพันธ์
ฟังก์ชันเวกเตอร์
อินทิกรัลของเส้นเวกเตอร์
ทฤษฎีบทของกรีน
ทฤษฎีบทไดเวอร์เจนซ์ของเกาส์
ทฤษฎีบทของสโต๊ค
ปริพันธ์ของพื้นผิวและปริมาตร
ปัญหาเกี่ยวกับทฤษฎีบทปริพันธ์
อนุพันธ์เชิงทิศทางของเวกเตอร์
เว็กเตอร์เกรเดียน
ทฤษฎีบทอินทิกรัลเส้น
พิกัดโค้งตั้งฉาก
ตัวดำเนินการที่แตกต่างกัน
ความแตกต่างของเวกเตอร์
เคิร์ลของเวกเตอร์
ปัญหาเกี่ยวกับแคลคูลัสเวกเตอร์
ความรู้เบื้องต้นเกี่ยวกับเมทริกซ์
คุณสมบัติของเมทริกซ์
การคูณสเกลาร์
การคูณเมทริกซ์
การย้ายเมทริกซ์
เมทริกซ์ที่ไม่ใช่เอกพจน์
รูปแบบระดับชั้นของเมทริกซ์
ปัจจัยกำหนด
คุณสมบัติของปัจจัยกำหนด
ระบบสมการเชิงเส้น
วิธีแก้ปัญหาระบบเชิงเส้น
คำตอบของระบบเชิงเส้นตรงโดยวิธีผกผัน
อันดับและร่องรอยของเมทริกซ์
ทฤษฎีบทเคย์ลีย์-แฮมิลตัน
ค่าลักษณะเฉพาะและเวกเตอร์ลักษณะเฉพาะ
วิธีการหาค่าลักษณะเฉพาะและเวกเตอร์ลักษณะเฉพาะ
ทำไมคุณถึงต้องการแอพนี้:
ครอบคลุมครอบคลุม: ไม่ว่าคุณจะเพิ่งเริ่มต้นหรือแก้ไข แอปนี้ครอบคลุมทุกสิ่งที่คุณต้องการสำหรับคณิตศาสตร์วิศวกรรม
เน้นหัวข้อการสอบ: เนื้อหาหลักและหัวข้อต่างๆ ครอบคลุมรายละเอียดเพื่อช่วยให้คุณเตรียมตัวสอบได้อย่างมั่นใจ
คำอธิบายโดยละเอียด: บันทึกเชิงลึกและตัวอย่างการแก้ปัญหาทำให้หัวข้อที่ซับซ้อนเข้าใจได้ง่ายขึ้น
เหมาะสำหรับการอ้างอิงอย่างรวดเร็ว: ต้องการทบทวนแนวคิดหรือไม่? แอปนี้ช่วยให้คุณเข้าถึงทุกหัวข้อได้อย่างรวดเร็ว ทำให้เหมาะสำหรับการอ้างอิงและแก้ไขอย่างรวดเร็ว
เรียนได้ทุกที่: ปรับให้เหมาะกับการใช้งานบนมือถือ คุณจึงสามารถเรียนได้ทุกที่ทุกเวลา
What's new in the latest 15.0
ข้อมูล Engineering Maths 1 APK
Engineering Maths 1 รุ่นเก่า
Engineering Maths 1 15.0
Engineering Maths 1 14.0
Engineering Maths 1 1.13
Engineering Maths 1 1.11
การดาวน์โหลดที่รวดเร็วและปลอดภัยเป็นพิเศษผ่านแอป APKPure
คลิกเพียงครั้งเดียวเพื่อติดตั้งไฟล์ XAPK/APK บน Android!







