Sobre este MathMagic Lite
MathMagic - o editor de equações final no planeta.
MathMagic Lite é um dos melhores editores de equação livres do planeta.
produtos MathMagic têm sido amplamente utilizados na educação superior e mercado DTP desde 1998 em Mac e Windows.
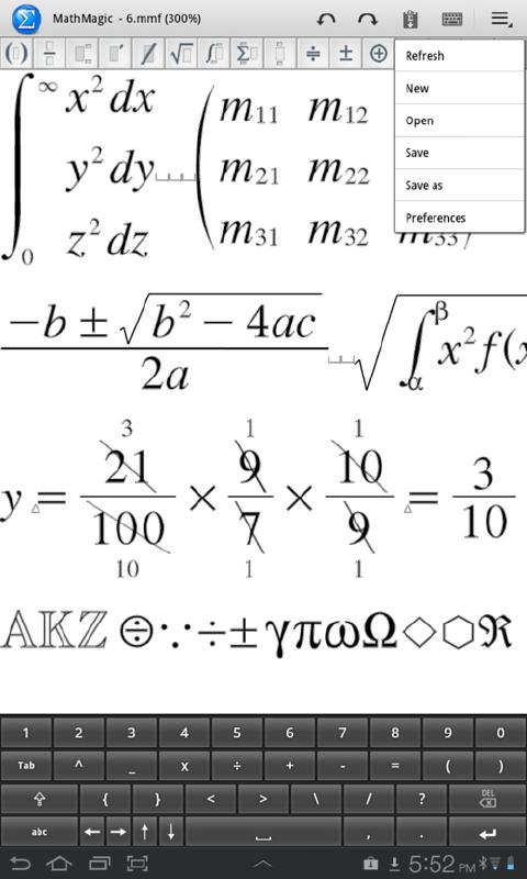
MathMagic Lite é um fácil de usar editor de equações WYSIWYG com o LaTeX, Wolfram Alpha, e suporte Text-To-Speech.
Ele permite que você entrar na Fórmula matemática, expressões matemáticas, e vários símbolos científicos fácil e, em seguida, usá-los em seus processadores de texto, apresentações, conteúdo web, publicações técnicas, e muito mais.
MathMagic é a melhor escolha para escrever equações e símbolos de Matemática, Física, Ciência e Química.
imagem equação MathMagic pode ser aberta e re-editado posteriormente, mesmo se salva em PNG.
Versão menu de 2.2 suporta 'share'.
Novidades em 3.6.2 mais recente
Changed: SDK updated to support newer API level to meet Google Play Store requirements.
Informações sobre MathMagic Lite APK
Versões Antigas de MathMagic Lite
MathMagic Lite 3.6.2
MathMagic Lite 3.6.1
MathMagic Lite 3.5.0
MathMagic Lite 3.4.0
Baixar de Forma Rápida e Segura via APKPure App
Um clique para instalar arquivos XAPK/APK no Android!




