Über MathMagic Lite
MathMagic - der ultimative Formel-Editor auf dem Planeten.
MathMagic Lite ist eine der besten freien Formel-Editoren auf dem Planeten.
MathMagic Produkte wurden in höheren Ausbildungen und DTP-Markt seit 1998 auf Mac und Windows weit verbreitet.
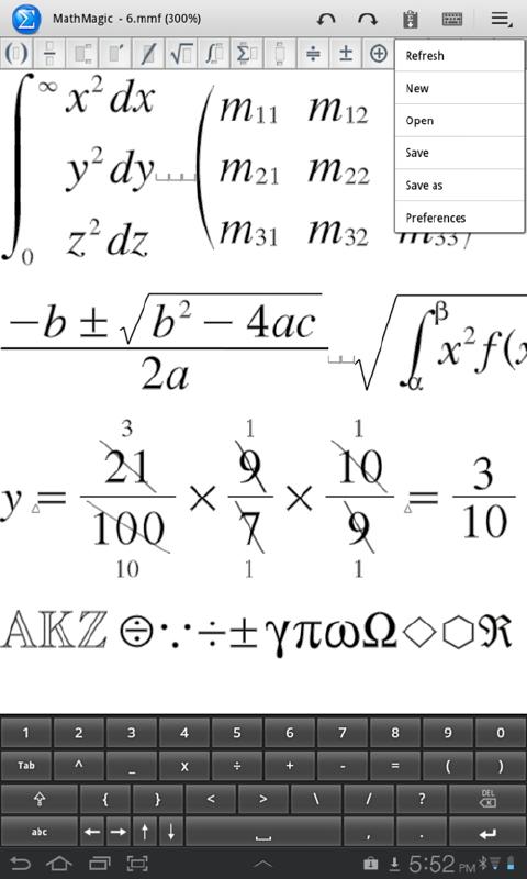
MathMagic Lite ist eine einfache WYSIWYG-Formel-Editor mit LaTeX, Wolfram Alpha und Text-To-Speech-Unterstützung zu verwenden.
Es lässt Sie mathematische Formel, mathematische Ausdrücke und verschiedene wissenschaftliche Symbole leicht eingeben und diese dann in Ihrem Textverarbeitungsprogrammen verwenden, Präsentationen, Web-Inhalte, technische Publikationen und vieles mehr.
MathMagic ist die beste Wahl für Gleichungen und Symbole für Mathematik, Physik, Naturwissenschaften und Chemie zu schreiben.
MathMagic Gleichung Bild kann geöffnet werden und neu herausgegeben später auch wenn in PNG gespeichert.
Version 2.2 unterstützt 'Share' Menü.
What's new in the latest 3.6.2
Changed: SDK updated to support newer API level to meet Google Play Store requirements.
MathMagic Lite APK -Informationen
Alte Versionen von MathMagic Lite
MathMagic Lite 3.6.2
MathMagic Lite 3.6.1
MathMagic Lite 3.5.0
MathMagic Lite 3.4.0
Superschnelles und sicheres Herunterladen über die APKPure-App
Ein Klick zur Installation von XAPK/APK-Dateien auf Android!




