Informazioni su MathMagic Lite
MathMagic - l'ultimo editor di equazioni sul pianeta.
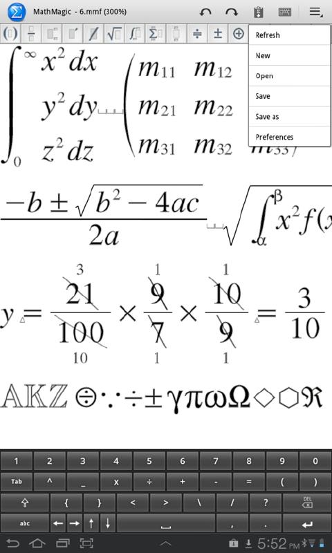
MathMagic Lite è uno dei migliori editor di equazioni libere del pianeta.
MathMagic prodotti sono stati ampiamente utilizzati in educazioni più elevati e mercato DTP dal 1998 sia su Mac e Windows.
MathMagic Lite è un facile da usare WYSIWYG editor di equazioni con LaTeX, Wolfram Alpha, e il supporto Text-To-Speech.
Esso consente di immettere formula matematica, espressioni matematiche, e vari simboli scientifici facilmente e poi utilizzarli nel vostro word processor, presentazioni, contenuti web, pubblicazioni tecniche e molto altro.
MathMagic è la scelta migliore per la scrittura di equazioni e simboli per la Matematica, Fisica, Scienze e Chimica.
Immagine dell'equazione MathMagic può essere aperto e ri-modificato in seguito, anche se salvati in formato PNG.
La versione 2.2 supporta menù 'Condividi'.
What's new in the latest 3.6.2
Changed: SDK updated to support newer API level to meet Google Play Store requirements.
Informazioni sull'APK MathMagic Lite
Vecchie versioni di MathMagic Lite
MathMagic Lite 3.6.2
MathMagic Lite 3.6.1
MathMagic Lite 3.5.0
MathMagic Lite 3.4.0
Download super veloce e sicuro tramite l'app APKPure
Basta un clic per installare i file XAPK/APK su Android!




