About MathMagic Lite
MathMagic - the ultimate equation editor on the planet.
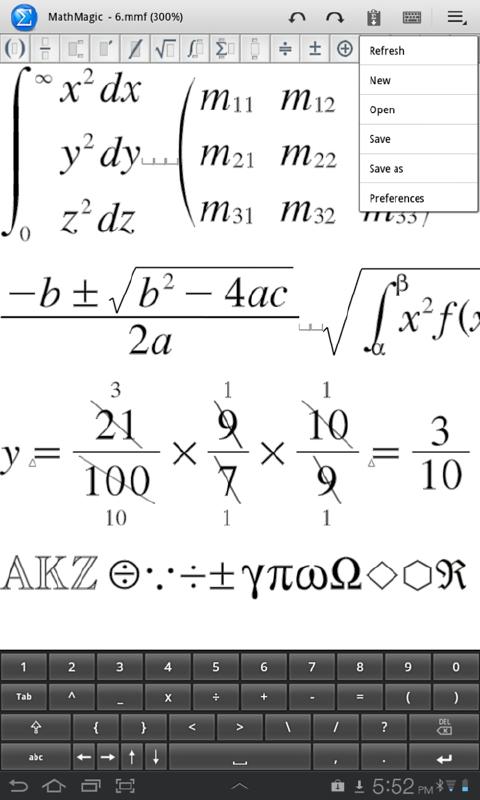
MathMagic Lite is one of the best free equation editors on the planet.
MathMagic products have been widely used in higher educations and DTP market since 1998 on both Mac and Windows.
MathMagic Lite is an easy to use WYSIWYG equation editor with LaTeX, Wolfram Alpha, and Text-To-Speech support.
It lets you enter mathematical Formula, math expressions, and various scientific symbols easily and then use them in your word processors, presentations, web contents, technical publications, and more.
MathMagic is the best choice for writing equations and symbols for Mathematics, Physics, Science and Chemistry.
MathMagic equation image can be opened and re-edited later even if saved in PNG.
Version 2.2 supports 'Share' menu.
What's new in the latest 3.6.2
Changed: SDK updated to support newer API level to meet Google Play Store requirements.
MathMagic Lite APK Information
Old Versions of MathMagic Lite
MathMagic Lite 3.6.2
MathMagic Lite 3.6.1
MathMagic Lite 3.5.0
MathMagic Lite 3.4.0
Super Fast and Safe Downloading via APKPure App
One-click to install XAPK/APK files on Android!




