Giới thiệu về MathMagic Lite
MathMagic - trình biên tập phương trình cuối cùng trên hành tinh.
MathMagic Lite là một trong những biên tập phương trình miễn phí tốt nhất trên hành tinh.
sản phẩm MathMagic đã được sử dụng rộng rãi trong nền giáo dục cao hơn và thị trường DTP từ năm 1998 trên cả Mac và Windows.
MathMagic Lite là một dễ sử dụng trình soạn thảo WYSIWYG với LaTeX, Wolfram Alpha, và hỗ trợ Text-To-Speech.
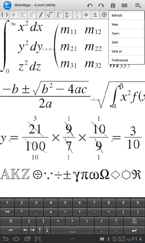
Nó cho phép bạn nhập công thức toán học, biểu thức toán học, và các ký hiệu khoa học khác nhau một cách dễ dàng và sau đó sử dụng chúng trong xử lý văn bản, thuyết trình, nội dung web, ấn phẩm kỹ thuật, và nhiều hơn nữa.
MathMagic là sự lựa chọn tốt nhất cho việc viết các phương trình và biểu tượng cho Toán học, Vật lý, Khoa học và Hóa học.
MathMagic hình ảnh phương trình có thể được mở và biên tập lại sau đó ngay cả khi lưu trong định dạng PNG.
Phiên bản 2.2 hỗ trợ 'Share' menu.
What's new in the latest 3.6.2
Changed: SDK updated to support newer API level to meet Google Play Store requirements.
Thông tin APK MathMagic Lite
Phiên bản cũ của MathMagic Lite
MathMagic Lite 3.6.2
MathMagic Lite 3.6.1
MathMagic Lite 3.5.0
MathMagic Lite 3.4.0
Tải xuống siêu nhanh và an toàn thông qua Ứng dụng APKPure
Một cú nhấp chuột để cài đặt các tệp XAPK/APK trên Android!




