عن MathMagic Lite
مترجم قوقل - محرر المعادلات في نهاية المطاف على هذا الكوكب.
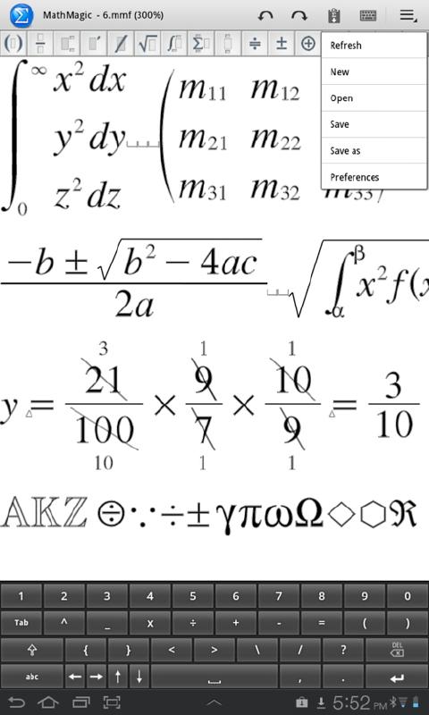
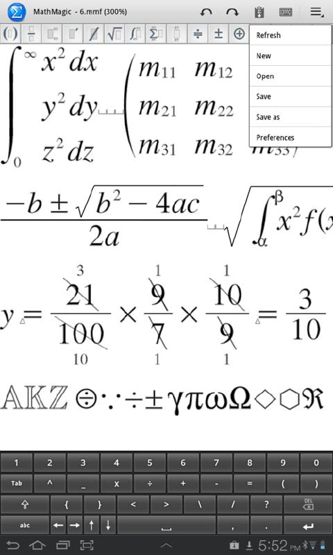
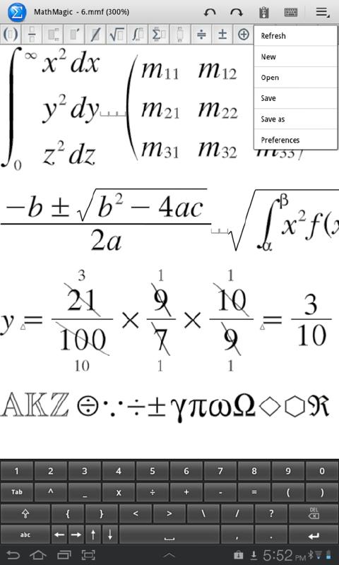
MathMagic لايت هي واحدة من أفضل المحررين المعادلة الحرة على هذا الكوكب.
MathMagic المنتجات التي استخدمت على نطاق واسع في تعليم العالي وسوق DTP منذ عام 1998 على كل من ويندوز وماك.
MathMagic لايت هو وسيلة سهلة لاستخدام محرر WYSIWYG المعادلة مع مطاط، ولفرام ألفا، ودعم تحويل النص إلى كلام.
فإنه يتيح لك إدخال صيغة رياضية، الرياضيات عبارات ورموز مختلفة العلمية بسهولة ومن ثم استخدامها في معالجات النصوص الخاصة بك، والعروض، ومحتويات الإنترنت والمنشورات التقنية، وأكثر من ذلك.
MathMagic هو الخيار الأفضل لكتابة المعادلات والرموز الرياضيات، الفيزياء، العلوم والكيمياء.
MathMagic صورة المعادلة يمكن فتح وإعادة تحريرها في وقت لاحق حتى إذا تم حفظها في بابوا غينيا الجديدة.
الإصدار 2.2 يدعم 'حصة' القائمة.
What's new in the latest 3.6.2
Changed: SDK updated to support newer API level to meet Google Play Store requirements.
معلومات MathMagic Lite APK
الإصدارات القديمة لـ MathMagic Lite
MathMagic Lite 3.6.2
MathMagic Lite 3.6.1
MathMagic Lite 3.5.0
MathMagic Lite 3.4.0
قم بتنزيل سريع وآمن بالغاية عبر تطبيق APKPure
قم بتثبيت ملفات XAPK/APK بنقرة واحدة على أندرويد!




