Tentang MathMagic Lite
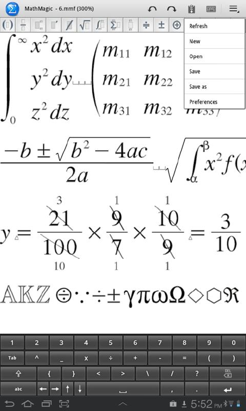
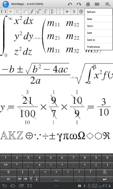
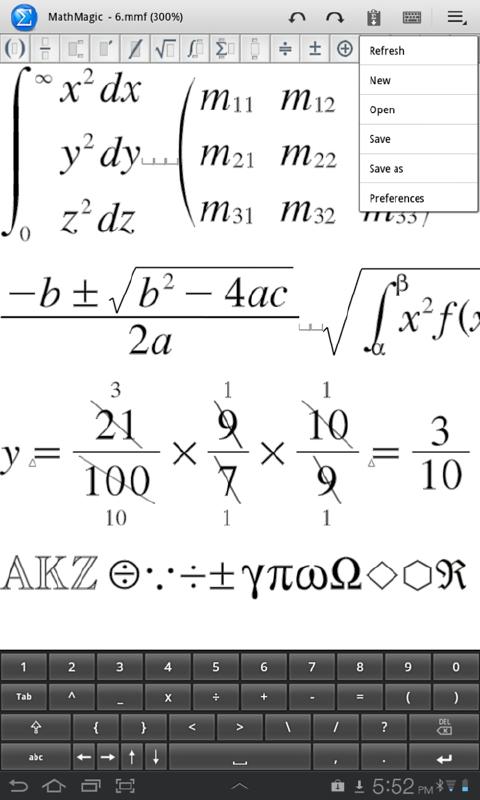
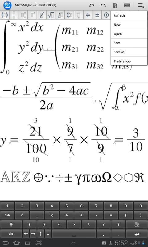
Mathmagic - editor persamaan utama di planet ini.
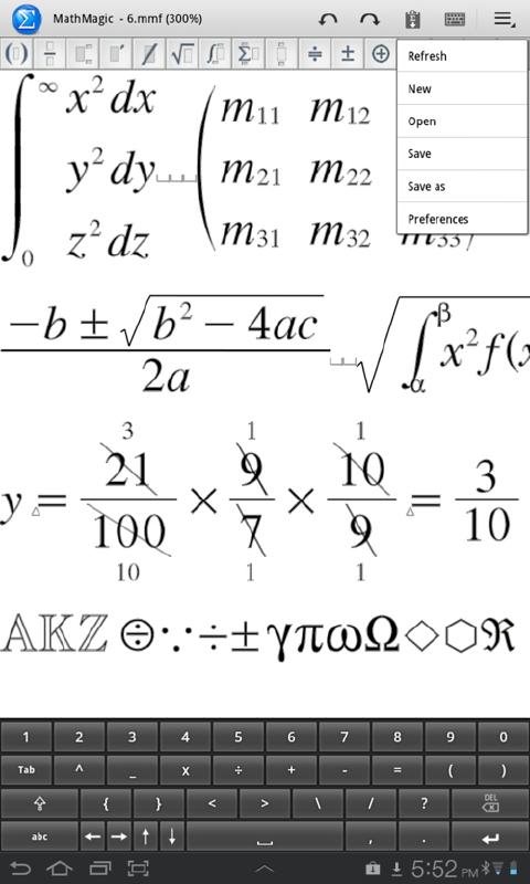
Mathmagic Lite adalah salah satu yang terbaik persamaan editor gratis di planet ini.
produk mathmagic telah banyak digunakan di perguruan tinggi dan pasar DTP sejak tahun 1998 pada kedua Mac dan Windows.
Mathmagic Lite adalah mudah untuk menggunakan WYSIWYG editor persamaan dengan LaTeX, Wolfram Alpha, dan dukungan Text-To-Speech.
Ini memungkinkan Anda memasukkan Formula matematika, ekspresi matematika, dan berbagai simbol ilmiah dengan mudah dan kemudian menggunakannya dalam pengolah kata Anda, presentasi, isi web, publikasi teknis, dan banyak lagi.
Mathmagic adalah pilihan terbaik untuk menulis persamaan dan simbol untuk Matematika, Fisika, Sains dan Kimia.
Mathmagic persamaan gambar dapat dibuka dan re-diedit kemudian bahkan jika disimpan di PNG.
Versi 2.2 mendukung menu 'Share'.
What's new in the latest 3.6.2
Changed: SDK updated to support newer API level to meet Google Play Store requirements.
Informasi APK MathMagic Lite
Versi lama MathMagic Lite
MathMagic Lite 3.6.2
MathMagic Lite 3.6.1
MathMagic Lite 3.5.0
MathMagic Lite 3.4.0
Pengunduhan Super cepat dan aman melalui aplikasi APKPure
Sekali klik untuk menginstal file XAPK/APK di Android!




