MathMagic Lite hakkında
MathMagic - gezegende nihai denklem düzenleyici.
MathMagic Lite gezegendeki en iyi ücretsiz denklem editörlerinden biridir.
MathMagic ürünleri yaygın Mac hem de Windows üzerinde 1998 yılından beri yüksek eğitimli ve DTP piyasada kullanılmaktadır.
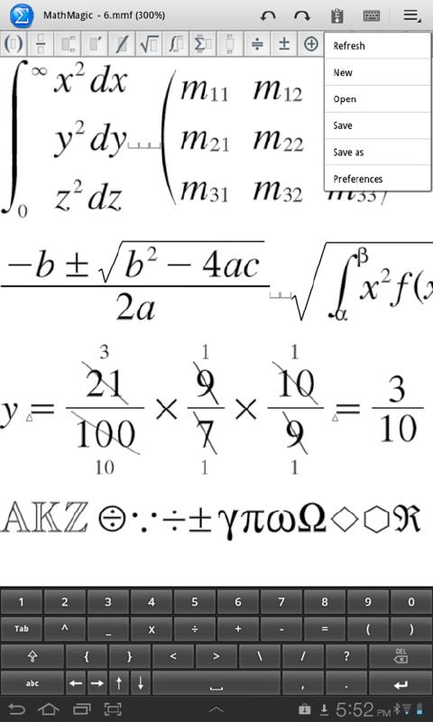
MathMagic Lite LaTeX, Wolfram Alpha ve Metin-To-Speech desteği ile WYSIWYG denklem editörü kullanımı kolaydır.
Kolayca matematiksel Formula, matematik ifadeler ve çeşitli bilimsel sembolleri girmek ve sonra kelime işlemciler, sunumlar, web içeriği, teknik yayınlar, ve daha bunları kullanmanıza olanak sağlar.
MathMagic Matematik, Fizik, Fen ve Kimya denklemler ve sembolleri yazmak için en iyi seçimdir.
MathMagic denklemi görüntü açılabilir ve PNG kaydedilen bile daha sonra yeniden düzenlenebilir.
Sürüm 2.2 destekler 'Payı' menü.
What's new in the latest 3.6.2
Changed: SDK updated to support newer API level to meet Google Play Store requirements.
MathMagic Lite APK Bilgileri
MathMagic Lite'in eski sürümleri
MathMagic Lite 3.6.2
MathMagic Lite 3.6.1
MathMagic Lite 3.5.0
MathMagic Lite 3.4.0
APK Uygulaması ile Süper Hızlı ve Güvenli İndirme
XAPK/APK dosyalarını Android'e yüklemek için tek tıkla!




