Mengenai MathMagic Lite
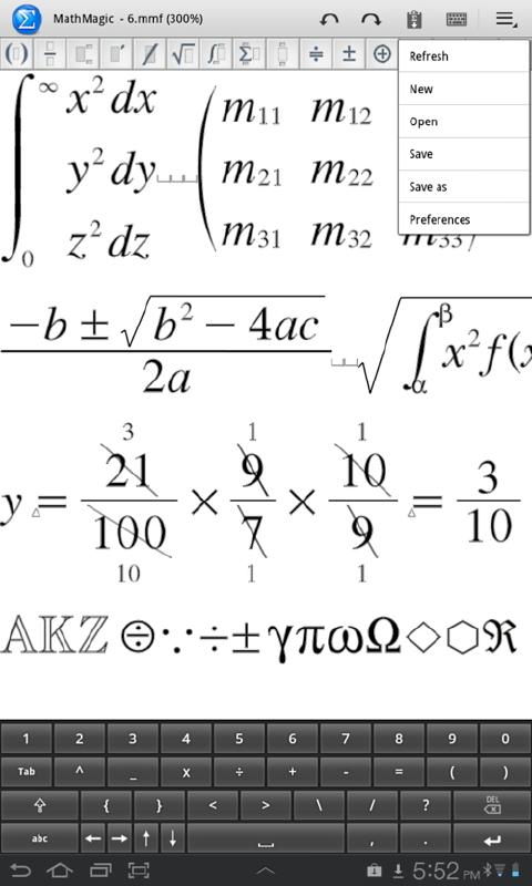
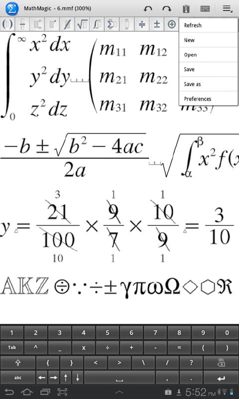
MathMagic - editor persamaan utama di planet ini.
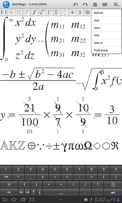
MathMagic Lite adalah salah satu yang terbaik editor persamaan percuma di planet ini.
produk MathMagic telah digunakan secara meluas dalam pendidikan tinggi dan pasaran DTP sejak 1998 di kedua-dua Mac dan Windows.
MathMagic Lite adalah mudah untuk menggunakan editor WYSIWYG persamaan dengan LaTeX, Wolfram Alpha, dan sokongan Text-To-Speech.
Ia membolehkan anda memasukkan Formula matematik, ungkapan matematik, dan pelbagai simbol saintifik dengan mudah dan kemudian menggunakannya dalam pemproses perkataan anda, persembahan, kandungan web, penerbitan teknikal, dan banyak lagi.
MathMagic adalah pilihan terbaik untuk menulis persamaan dan simbol bagi mata pelajaran Matematik, Fizik, Sains dan Kimia.
MathMagic imej persamaan boleh dibuka dan semula disunting kemudian walaupun disimpan di PNG.
Versi 2.2 sokongan 'Share' menu.
What's new in the latest 3.6.2
Changed: SDK updated to support newer API level to meet Google Play Store requirements.
Maklumat APK MathMagic Lite
Versi lama MathMagic Lite
MathMagic Lite 3.6.2
MathMagic Lite 3.6.1
MathMagic Lite 3.5.0
MathMagic Lite 3.4.0
Muat Turun Super Pantas dan Selamat melalui Apl APKPure
Satu klik untuk memasang fail XAPK/APK pada Android!




