Over Calculus Quick Reference
A must have app for students and learners
Forget taking down calculus formulas on a paper!
Calculus Quick Reference lists down all the important formulas and evaluation techniques used in calculus which makes it easier for you to memorize and apply them in solving problems.
The topics include:
1) Limits (Basic Properties, Basic Limit Evaluations, Evaluation Techniques)
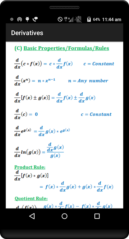
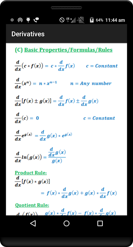
2) Derivatives (Definitions, Basic Properties/Formulas/Rules, Common Derivatives, Conditions for Increasing/Decreasing and Conditions for Concave Up/Concave Down)
3) Integrals formulas/Rules and Standard Evaluation Techniques(u substitution, Integration by Parts, Products and Quotients of Trig Functions, Trigonometric Substitutions and Partial Fractions)
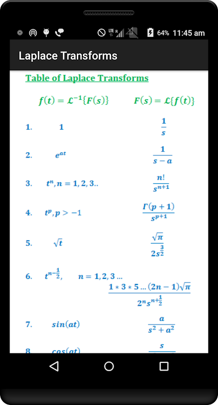
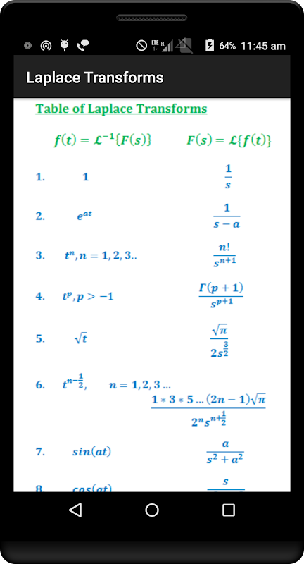
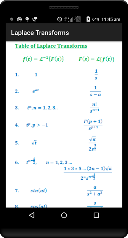
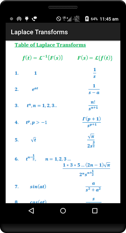
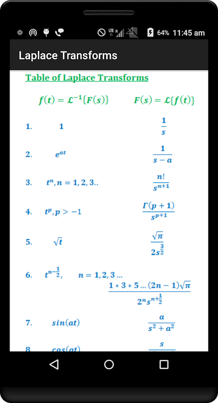
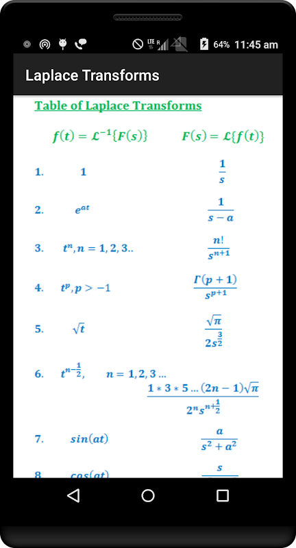
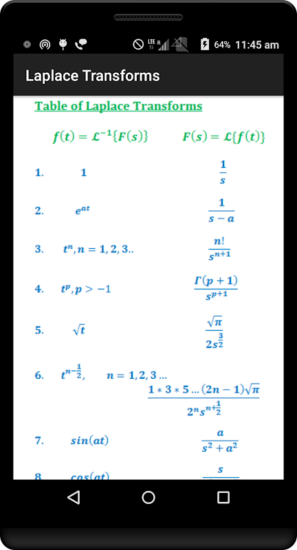
4) Table of Laplace Transforms
What's new in the latest 1.8
- Improved UI
- Content update
- Compatible with 7.X
Calculus Quick Reference APK -informatie
Oude versies van Calculus Quick Reference
Calculus Quick Reference 1.8
Calculus Quick Reference 1.6.5
Supersnel en veilig downloaden via de APKPure-app
Eén klik om XAPK/APK-bestanden op Android te installeren!





