CIE A Level Maths P1 Topical সম্পর্কে
Detailed Worked Solutions For CIE A Level Maths P1 Topical 9709
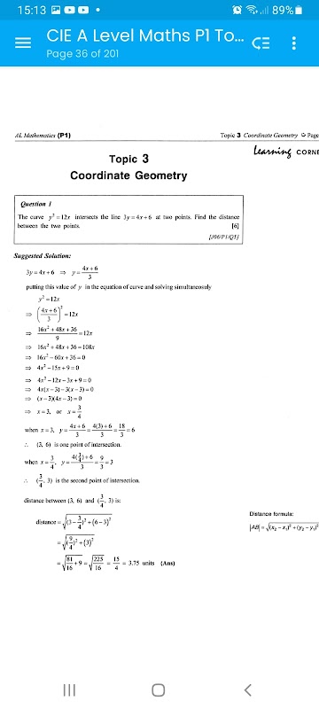
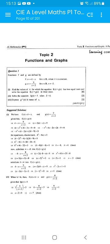
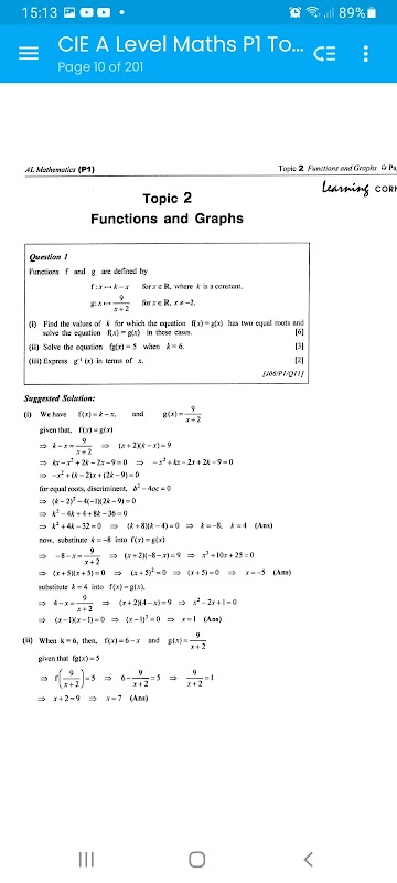
This book contains AS Level Mathematics (9709) examination papers Paper 1(P1), with step-by-step full worked solutions. The questions, are arranged in topical form so that the students can revise and practice systematically. Questions from past examinations have always proved to be the best practice for students. Students are able to apply what they have learnt.
This book is also a very useful study guide for students as they can practice the questions, and then check their working and answers . This book is highly recommended for the students who are preparing for the AS Level Mathematics examination.
The Physical book costs Rs 375. Whatsapp us on +23057125974 for your order.
What's new in the latest 1.0.0
CIE A Level Maths P1 Topical APK Information
CIE A Level Maths P1 Topical বিকল্প
APKPure অ্যাপের মাধ্যমে অতি দ্রুত এবং নিরাপদ ডাউনলোড করা হচ্ছে
Android-এ XAPK/APK ফাইল ইনস্টল করতে এক-ক্লিক করুন!







