Acerca del CIE A Level Maths P1 Topical
Soluciones trabajadas detalladas para CIE A Level Maths P1 Topical 9709
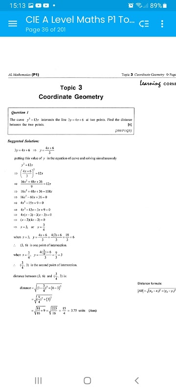
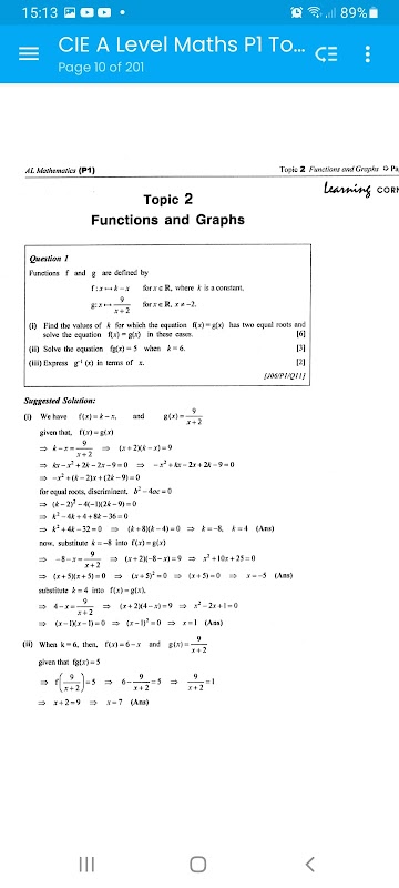
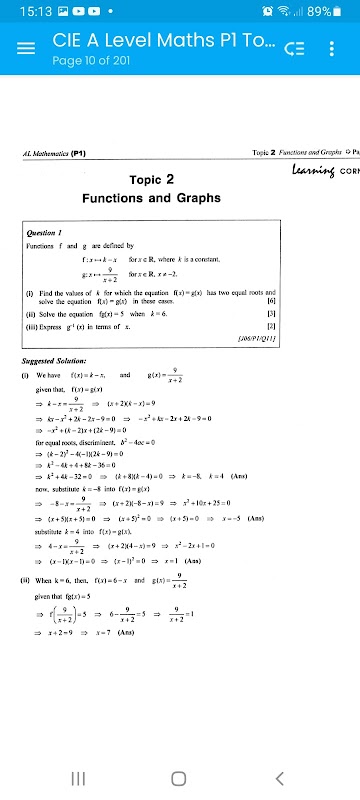
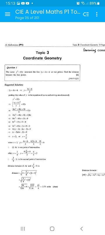
Este libro contiene pruebas de examen AS Level Mathematics (9709) Prueba 1 (P1), con soluciones completas paso a paso. Las preguntas, están ordenadas en forma temática para que los estudiantes puedan repasar y practicar sistemáticamente. Las preguntas de exámenes anteriores siempre han demostrado ser la mejor práctica para los estudiantes. Los estudiantes son capaces de aplicar lo que han aprendido.
Este libro también es una guía de estudio muy útil para los estudiantes, ya que pueden practicar las preguntas y luego verificar su trabajo y respuestas. Este libro es muy recomendable para los estudiantes que se están preparando para el examen de Matemáticas AS Level.
El libro físico cuesta 375 rupias. Envíanos un whatsapp al +23057125974 para tu pedido.
Novedades más recientes 1.0.0
Información de CIE A Level Maths P1 Topical APK
Alternativa de CIE A Level Maths P1 Topical
Descarga rápida y segura a través de APKPure App
¡Un clic para instalar archivos XAPK/APK en Android!







