CIE A Level Maths P1 Topical

CIE A Level Maths P1 Topical

  • Everyone

  • 5.0

    Android OS

關於CIE A Level Maths P1 Topical

CIE A Level 數學 P1 專題 9709 的詳細工作解決方案

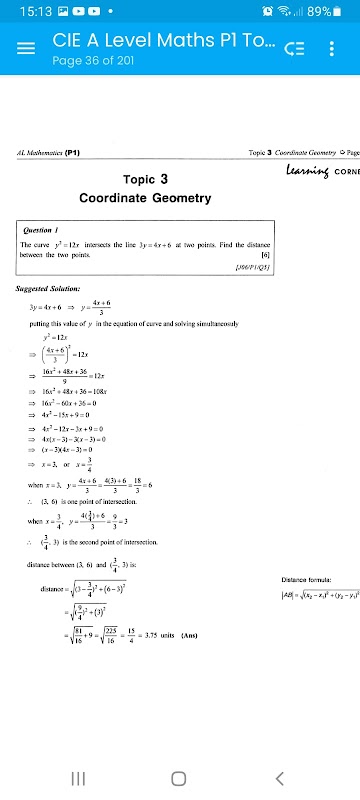
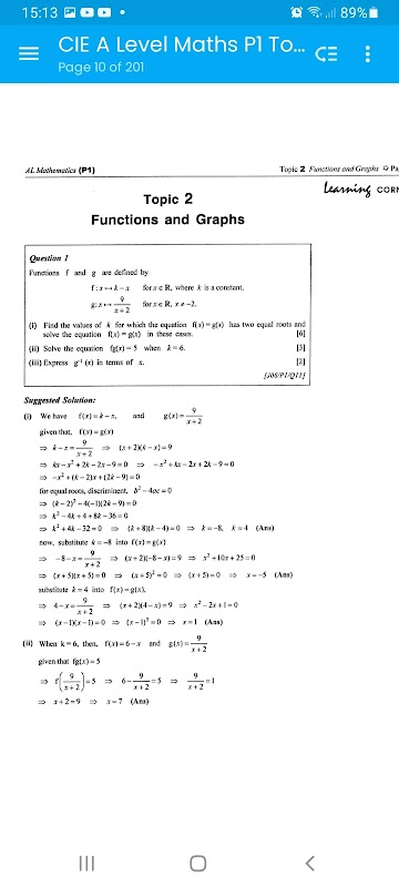
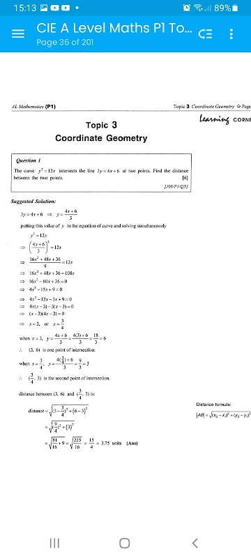
本書包含 AS Level 數學 (9709) 試卷 Paper 1(P1),以及逐步完整的解決方案。題目以專題形式排列,便於學生有系統地複習和練習。過去考試中的問題一直被證明是學生的最佳實踐。學生能夠應用他們所學的知識。

這本書對學生來說也是一本非常有用的學習指南,因為他們可以練習問題,然後檢查他們的工作和答案。這本書強烈推薦給準備AS Level數學考試的學生。

實體書售價 375 盧比。Whatsapp 我們在 +23057125974 上訂購。

更多

最新版本1.0.0的更新日誌

Last updated on 2022年08月31日
Minor bug fixes and improvements. Install or update to the newest version to check it out!
更多

視頻和屏幕截圖

  • CIE A Level Maths P1 Topical 海報
  • CIE A Level Maths P1 Topical 截圖 1
  • CIE A Level Maths P1 Topical 截圖 2
  • CIE A Level Maths P1 Topical 截圖 3
  • CIE A Level Maths P1 Topical 截圖 4
  • CIE A Level Maths P1 Topical 截圖 5
  • CIE A Level Maths P1 Topical 截圖 6
  • CIE A Level Maths P1 Topical 截圖 7
APKPure 圖標

在APKPure極速安全下載應用程式

一鍵安裝安卓XAPK/APK文件!

下載 APKPure
thank icon
We use cookies and other technologies on this website to enhance your user experience.
By clicking any link on this page you are giving your consent to our Privacy Policy and Cookies Policy.
Learn More about Policies