دربارهی CIE A Level Maths P1 Topical
راه حل های دقیق کار شده برای CIE A Level Maths P1 Topical 9709
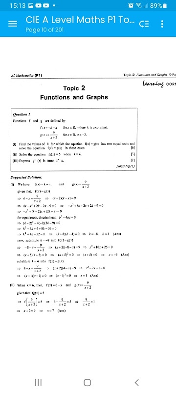
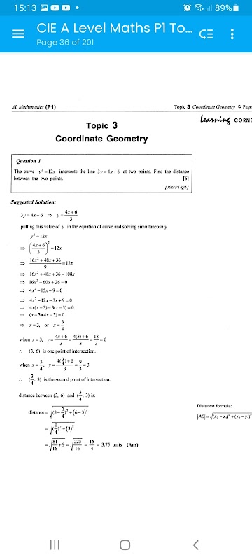
این کتاب شامل مقالات امتحانی ریاضی سطح AS (9709) مقاله 1 (P1) با راه حل های کامل کار شده گام به گام است. سوالات به صورت موضوعی مرتب شده اند تا دانش آموزان بتوانند به طور سیستماتیک بازبینی و تمرین کنند. سوالات امتحانات گذشته همیشه بهترین روش برای دانش آموزان بوده است. دانش آموزان می توانند آنچه را که آموخته اند به کار گیرند.
این کتاب همچنین یک راهنمای مطالعه بسیار مفید برای دانش آموزان است زیرا می توانند سوالات را تمرین کنند و سپس عملکرد و پاسخ های خود را بررسی کنند. این کتاب برای دانش آموزانی که برای امتحان ریاضی سطح AS آماده می شوند به شدت توصیه می شود.
قیمت کتاب فیزیکی 375 روپیه است. برای سفارش شما با ما در واتساپ 23057125974+ تماس بگیرید.
جدیدترین 1.0.0 چه خبر است
اطلاعات CIE A Level Maths P1 Topical APK
جایگزین CIE A Level Maths P1 Topical
دانلود فوق سریع و ایمن از طریق برنامه APKPure
برای نصب فایل های XAPK/APK در اندروید با یک کلیک!







