À propos de CIE A Level Maths P1 Topical
Solutions détaillées travaillées pour CIE A Level Maths P1 Topical 9709
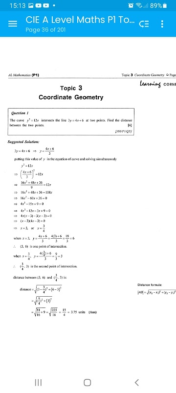
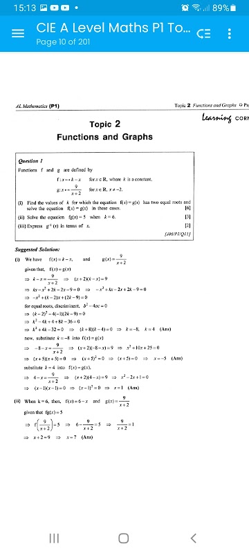
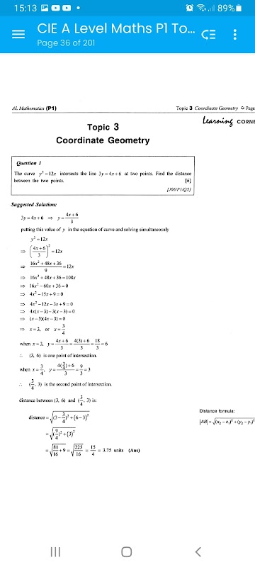
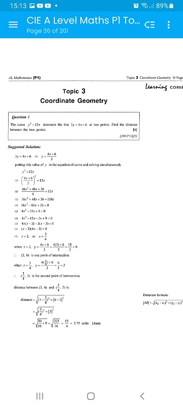
Ce livre contient les épreuves d'examen AS Level Mathematics (9709) Paper 1 (P1), avec des solutions complètes étape par étape. Les questions sont organisées sous forme thématique afin que les étudiants puissent réviser et pratiquer systématiquement. Les questions des examens antérieurs se sont toujours révélées être la meilleure pratique pour les étudiants. Les élèves sont capables d'appliquer ce qu'ils ont appris.
Ce livre est également un guide d'étude très utile pour les étudiants car ils peuvent pratiquer les questions, puis vérifier leur travail et leurs réponses. Ce livre est fortement recommandé pour les étudiants qui se préparent à l'examen de mathématiques de niveau AS.
Le livre physique coûte Rs 375. Whatsapp nous au +23057125974 pour votre commande.
What's new in the latest 1.0.0
Informations CIE A Level Maths P1 Topical APK
Alternative à CIE A Level Maths P1 Topical
Téléchargement super rapide et sûr via l'application APKPure
Un clic pour installer les fichiers XAPK/APK sur Android!







