Oписание CIE A Level Maths P1 Topical
Подробные рабочие решения для математики CIE A Level P1 Topical 9709
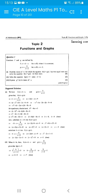
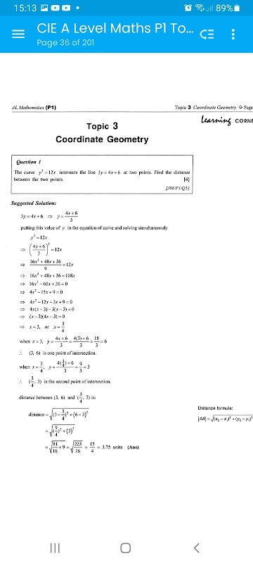
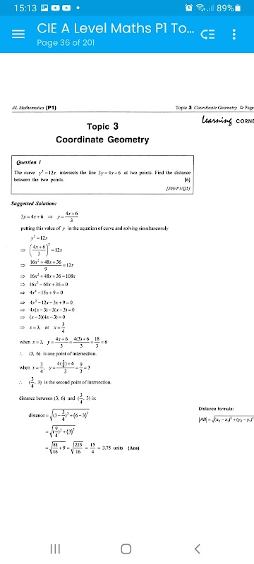
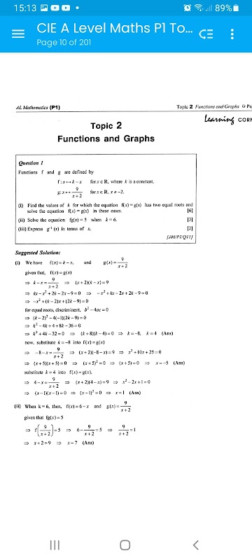
Эта книга содержит экзаменационные работы AS Level Mathematics (9709) Paper 1 (P1) с пошаговыми полными решениями. Вопросы расположены в тематической форме, чтобы учащиеся могли систематически повторять и практиковать. Вопросы из прошлых экзаменов всегда оказывались лучшей практикой для студентов. Студенты могут применять полученные знания.
Эта книга также является очень полезным учебным пособием для студентов, поскольку они могут практиковать вопросы, а затем проверять свою работу и ответы. Эта книга настоятельно рекомендуется для студентов, которые готовятся к экзамену по математике уровня AS.
Физическая книга стоит 375 рупий. Свяжитесь с нами по телефону +23057125974 для вашего заказа.
Что нового в последней версии 1.0.0
Информация CIE A Level Maths P1 Topical APK
Альтернатива CIE A Level Maths P1 Topical
Супер Быстрая и Безопасная Загрузка через Приложение APKPure
Один клик для установки XAPK/APK файлов на Android!







