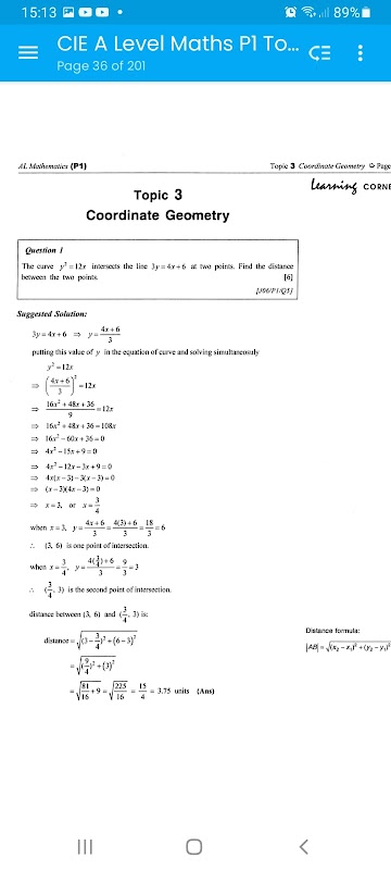
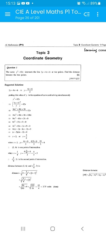
About CIE A Level Maths P1 Topical
CIE A لیول میتھس P1 ٹاپیکل 9709 کے لیے تفصیلی کام شدہ حل
اس کتاب میں اے ایس لیول میتھمیٹکس (9709) کے امتحانی پرچے پیپر 1 (P1) ہیں، مرحلہ وار مکمل کام شدہ حل کے ساتھ۔ سوالات کو موضوعاتی شکل میں ترتیب دیا گیا ہے تاکہ طلباء منظم طریقے سے نظر ثانی اور مشق کر سکیں۔ ماضی کے امتحانات کے سوالات ہمیشہ طلباء کے لیے بہترین عمل ثابت ہوئے ہیں۔ طلباء اس قابل ہیں کہ انہوں نے جو کچھ سیکھا ہے اسے لاگو کر سکیں۔
یہ کتاب طلباء کے لیے ایک بہت مفید مطالعہ گائیڈ بھی ہے کیونکہ وہ سوالات کی مشق کر سکتے ہیں، اور پھر اپنے کام اور جوابات کو چیک کر سکتے ہیں۔ یہ کتاب ان طلباء کے لیے انتہائی سفارش کی جاتی ہے جو AS سطح کے ریاضی کے امتحان کی تیاری کر رہے ہیں۔
فزیکل کتاب کی قیمت 375 روپے ہے۔ اپنے آرڈر کے لیے ہمیں +23057125974 پر واٹس ایپ کریں۔
What's new in the latest 1.0.0
CIE A Level Maths P1 Topical APK معلومات
CIE A Level Maths P1 Topical متبادل
APKPure ایپکےذریعےانتہائی تیزاورمحفوظڈاؤنلوڈنگ
Android پر XAPK/APK فائلیںانسٹالکرنےکےلیےایککلککریں!







