Informazioni su CIE A Level Maths P1 Topical
Soluzioni dettagliate per la matematica di livello A CIE P1 Topical 9709
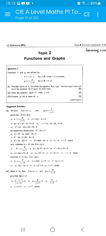
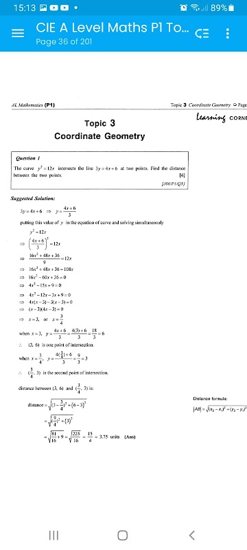
Questo libro contiene documenti d'esame AS Level Mathematics (9709) Paper 1(P1), con soluzioni complete e dettagliate. Le domande, sono disposte in forma attuale in modo che gli studenti possano rivedere ed esercitarsi sistematicamente. Le domande degli esami precedenti si sono sempre rivelate la migliore pratica per gli studenti. Gli studenti sono in grado di applicare ciò che hanno imparato.
Questo libro è anche una guida allo studio molto utile per gli studenti in quanto possono esercitarsi con le domande e quindi controllare il loro lavoro e le risposte. Questo libro è altamente raccomandato per gli studenti che si stanno preparando per l'esame di matematica di livello AS.
Il libro fisico costa Rs 375. Whatsapp al +23057125974 per il tuo ordine.
What's new in the latest 1.0.0
Informazioni sull'APK CIE A Level Maths P1 Topical
CIE A Level Maths P1 Topical Alternativa
Download super veloce e sicuro tramite l'app APKPure
Basta un clic per installare i file XAPK/APK su Android!







