Mengenai CIE A Level Maths P1 Topical
Penyelesaian Kerja Terperinci Untuk CIE A Level Maths P1 Topical 9709
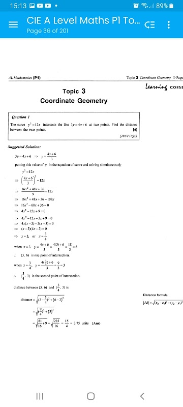
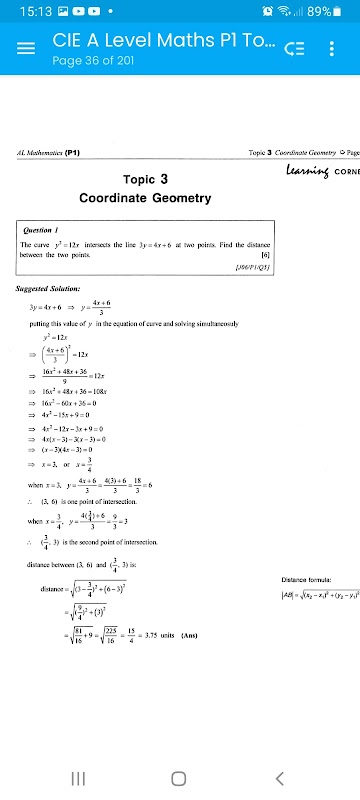
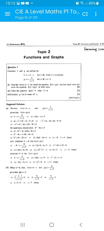
Buku ini mengandungi kertas peperiksaan AS Level Mathematics (9709) Kertas 1(P1), dengan penyelesaian kerja penuh langkah demi langkah. Soalan-soalan tersebut, disusun dalam bentuk topikal supaya pelajar dapat mengulang kaji dan membuat latihan secara sistematik. Soalan daripada peperiksaan lepas sentiasa terbukti sebagai amalan terbaik untuk pelajar. Pelajar dapat mengaplikasikan apa yang telah dipelajari.
Buku ini juga merupakan panduan belajar yang sangat berguna untuk pelajar kerana mereka boleh mempraktikkan soalan, dan kemudian menyemak kerja dan jawapan mereka. Buku ini amat disyorkan untuk pelajar yang sedang membuat persediaan untuk peperiksaan Matematik Peringkat AS.
Buku Fizikal berharga Rs 375. Whatsapp kami di +23057125974 untuk pesanan anda.
What's new in the latest 1.0.0
Maklumat APK CIE A Level Maths P1 Topical
CIE A Level Maths P1 Topical Alternatif
Muat Turun Super Pantas dan Selamat melalui Apl APKPure
Satu klik untuk memasang fail XAPK/APK pada Android!







