Class 10 Maths Solution Notes
29.8 MB
Tamanho do arquivo
Everyone
Android 7.1+
Android OS
Sobre este Class 10 Maths Solution Notes
Class 10 Maths NCERT Solutions: Math Notes, Imp Q/A, Past Papers, NCERT Book
Solução e notas de matemática da aula 10
Nosso aplicativo contém soluções NCERT, notas, questionário MCQ, papel de perguntas antigas, perguntas e respostas importantes, livro NCERT 🥳 para todos os capítulos incluídos no livro NCERT de matemática da classe 10 📖 no qual também é usado em Bihar Board e UP Board
Principais recursos do aplicativo de matemática:
✅ Soluções NCERT: soluções de capítulo passo a passo
📝 Notas rápidas: resumos concisos de tópicos e pontos principais
💯 Mais de 500 MCQs: questões práticas com soluções detalhadas
📜 Artigos anteriores: exames reais com soluções
📖 Livro didático integrado: livro didático NCERT completo incluído
🔄 Plano de estudos duplo: compatível com o plano de estudos antigo e novo
🚀 Funciona off-line: não precisa de internet, tem pouco armazenamento
Capítulo 1: Números Reais
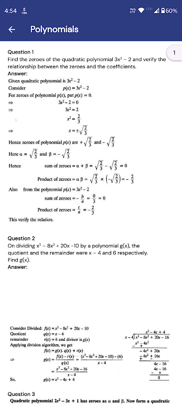
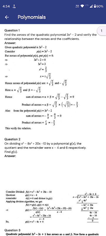
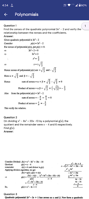
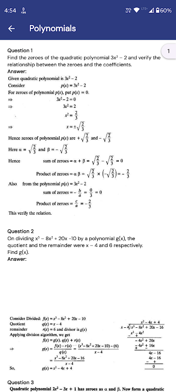
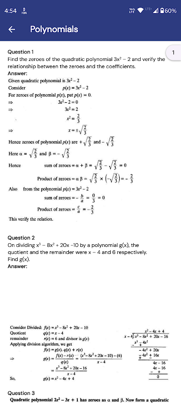
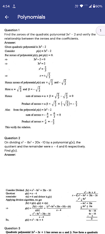
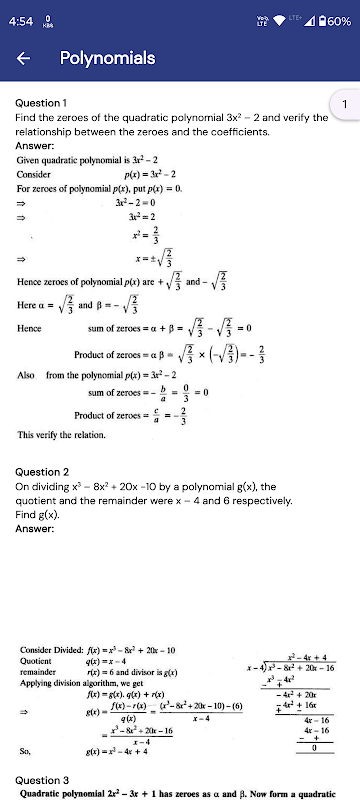
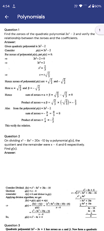
Capítulo 2: Polinômios
Capítulo 3: Par de Equações Lineares em Duas Variáveis
Capítulo 4: Equações Quadráticas
Capítulo 5: Progressão Aritmética
Capítulo 6: Triângulos
Capítulo 7: Geometria Coordenada
Capítulo 8: Introdução à Trigonometria
Capítulo 9: Algumas Aplicações da Trigonometria
Capítulo 10: Círculos
Capítulo 11: Construções
Capítulo 12: Área Relacionada aos Círculos
Capítulo 13: Áreas de Superfície e Volumes
Capítulo 14: Estatísticas
Capítulo 15: Probabilidade
Master Class 10 Maths com nosso aplicativo de solução abrangente, projetado especificamente para alunos CBSE. Explore soluções detalhadas em capítulos que dividem problemas complexos em etapas simples, tornando o aprendizado mais fácil e eficaz. Acesse notas bem estruturadas, pratique com trabalhos do ano anterior e fortaleça sua base de matemática por meio de módulos de aprendizagem interativos. Da Álgebra à Trigonometria, cada conceito é explicado detalhadamente com exemplos e soluções passo a passo.
Experimente o aplicativo Class 10 Maths agora 💯
Isenção de responsabilidade: este aplicativo não está associado, afiliado ou endossado pelo NCERT ou qualquer outra agência governamental, instituição educacional ou organização. Este é um recurso educacional independente e todo o conteúdo é fornecido apenas para fins informativos.
Novidades em 4.33 mais recente
MCQs with Solution Added 🚀
Informações sobre Class 10 Maths Solution Notes APK
Versões Antigas de Class 10 Maths Solution Notes
Class 10 Maths Solution Notes 4.33
Class 10 Maths Solution Notes 4.31
Class 10 Maths Solution Notes 4.11
Class 10 Maths Solution Notes 3.51
Baixar de Forma Rápida e Segura via APKPure App
Um clique para instalar arquivos XAPK/APK no Android!







