關於Class 10 Maths Solution Notes
10 級數學 NCERT 解決方案:數學筆記、Imp Q/A、過去的論文、NCERT 書
10 年級數學解答和筆記
我們的應用程式包含NCERT 解決方案、筆記、MCQ 測驗、舊試卷、重要問答、NCERT 書籍🥳 以及10 級數學 NCERT 書籍中包含的所有章節📖其中也用於Bihar Board & UP Board
數學應用程式的主要功能:
✅ NCERT 解決方案:逐步章節解決方案
📝 快速註解:簡潔的主題摘要和要點
💯 500 多個 MCQ:練習問題並提供詳細的解決方案
📜 往期試卷:真題及答案
📖 內建教科書:包含完整的 NCERT 教科書
🔄 雙課程大綱:相容新舊課程大綱
🚀 離線工作:無需互聯網,佔用儲存空間小
第一章:實數
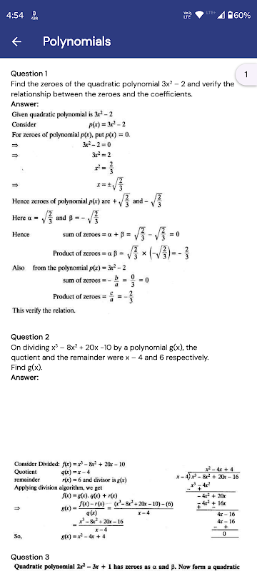
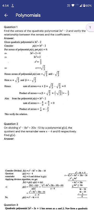
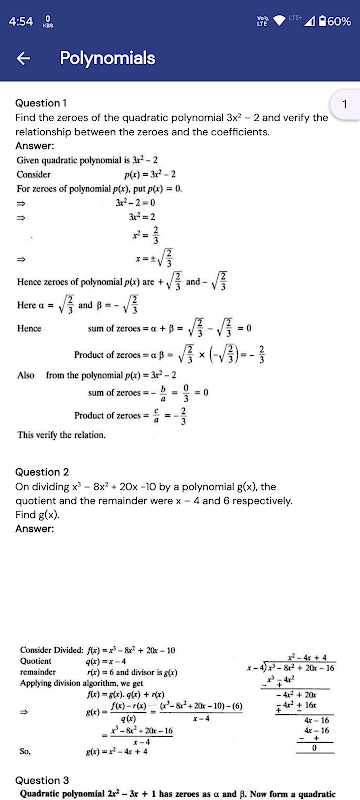
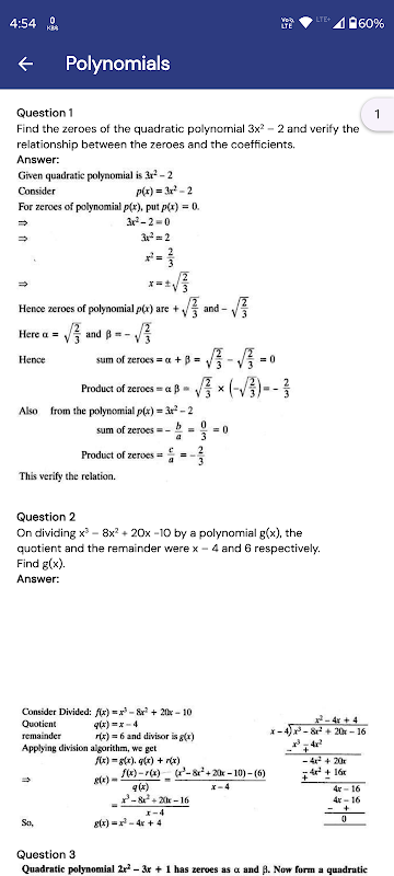
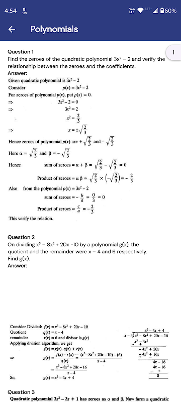
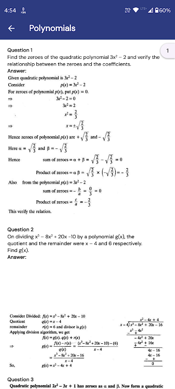
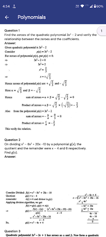
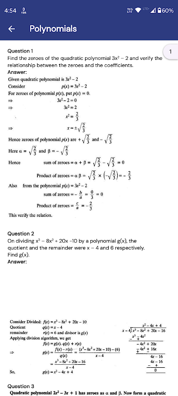
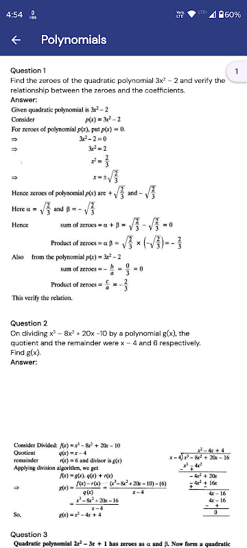
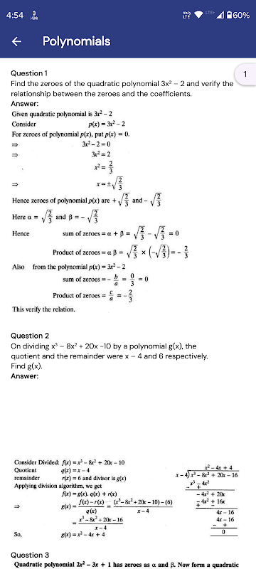
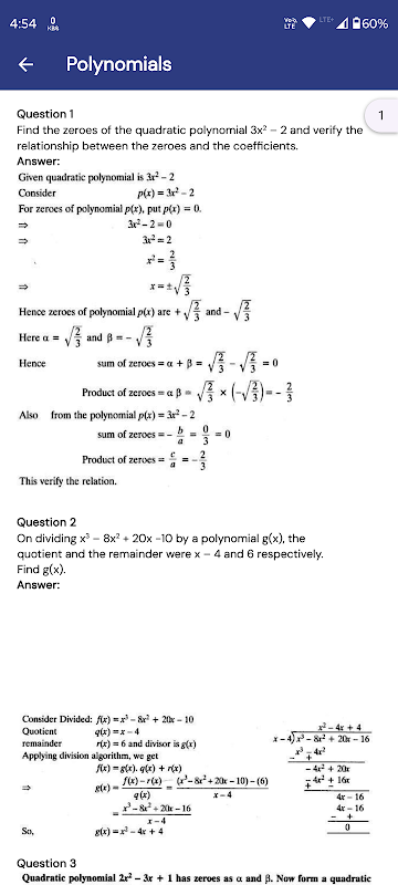
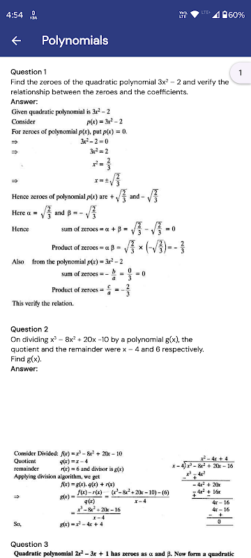
第 2 章:多項式
第 3 章:雙變量線性方程式對
第 4 章:二次方程
第 5 章:算術級數
第 6 章:三角形
第 7 章:座標幾何
第 8 章:三角學簡介
第 9 章:三角學的一些應用
第10章:圈子
第11章:構造
第12章:與圓相關的面積
第 13 章:表面積與體積
第14章:統計
第15章:機率
使用我們專為 CBSE 學生設計的綜合解決方案應用程式掌握 10 級數學。探索詳細的分章解決方案,將複雜的問題分解為簡單的步驟,使學習變得更容易、更有效。存取結構良好的筆記,練習往年的試卷,並透過互動式學習模組加強您的數學基礎。從代數到三角學,每個概念都通過示例和逐步解決方案進行了徹底解釋。
立即體驗 10 年級數學應用程式 💯
免責聲明:本應用程式與 NCERT 或任何其他政府機構、教育機構或組織沒有關聯、附屬或認可。這是一個獨立的教育資源,所有內容僅供參考。
最新版本4.33的更新日誌
Last updated on 2025年10月31日
2025 Question Papers Added 💯
MCQs with Solution Added 🚀
MCQs with Solution Added 🚀
Class 10 Maths Solution Notes APK信息
在APKPure安全快速地下載APK
APKPure 使用簽章驗證功能,確保為您提供無病毒的 Class 10 Maths Solution Notes APK 下載。
Class 10 Maths Solution Notes歷史版本
Class 10 Maths Solution Notes 4.33
29.8 MB2025年10月31日
Class 10 Maths Solution Notes 4.31
26.1 MB2025年07月05日
Class 10 Maths Solution Notes 4.11
28.8 MB2025年02月09日
Class 10 Maths Solution Notes 3.51
9.2 MB2024年05月05日







