关于Class 10 Maths Solution Notes
10 级数学 NCERT 解决方案:数学笔记、Imp Q/A、过去的论文、NCERT 书
10 年级数学解答和笔记
我们的应用程序包含NCERT 解决方案、笔记、MCQ 测验、旧试卷、重要问答、NCERT 书籍🥳 以及10 级数学 NCERT 书籍中包含的所有章节📖其中也用于Bihar Board & UP Board
数学应用程序的主要功能:
✅ NCERT 解决方案:分步章节解决方案
📝 快速注释:简洁的主题摘要和要点
💯 500 多个 MCQ:练习问题并提供详细的解决方案
📜 往期试卷:真题及答案
📖 内置教科书:包含完整的 NCERT 教科书
🔄 双课程大纲:兼容新旧课程大纲
🚀 离线工作:无需互联网,占用存储空间小
第一章:实数
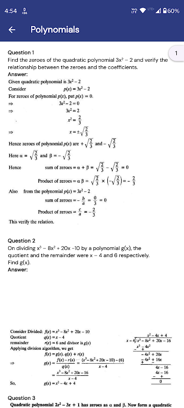
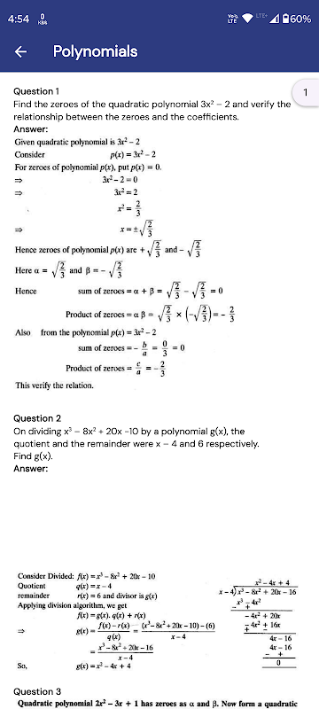
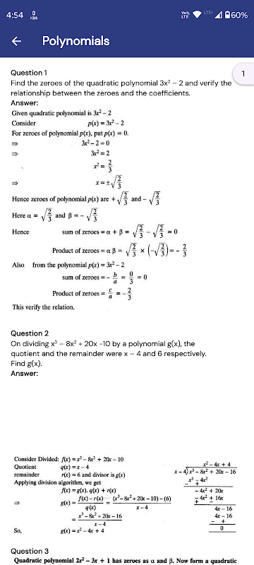
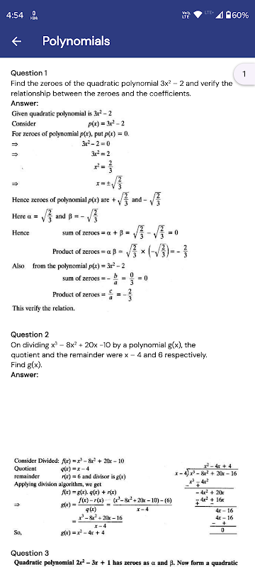
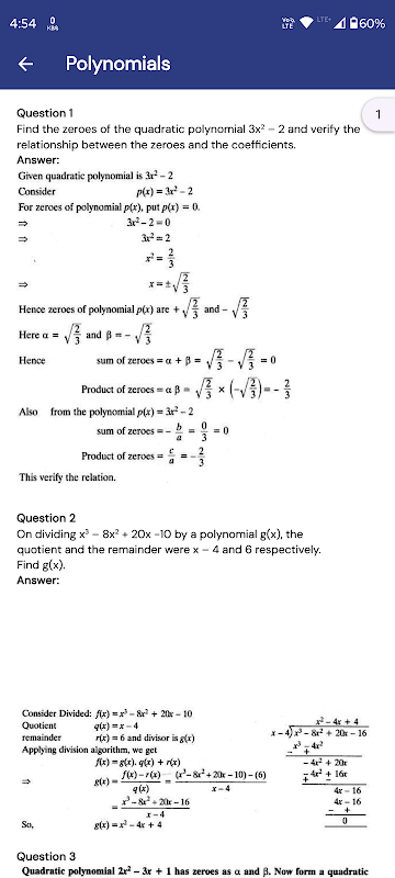
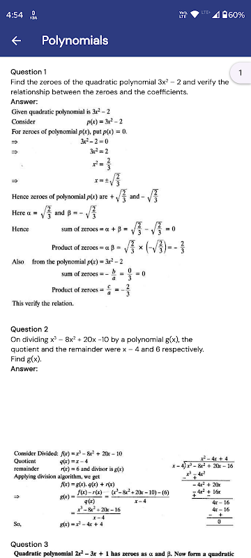
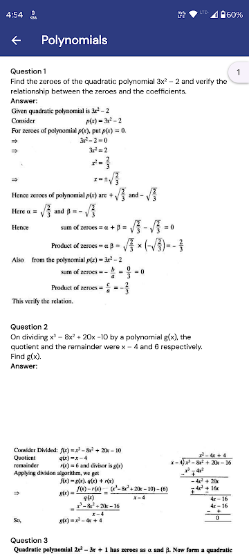
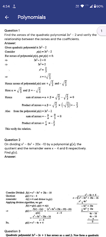
第 2 章:多项式
第 3 章:双变量线性方程对
第 4 章:二次方程
第 5 章:算术级数
第 6 章:三角形
第 7 章:坐标几何
第 8 章:三角学简介
第 9 章:三角学的一些应用
第10章:圈子
第11章:构造
第12章:与圆相关的面积
第 13 章:表面积和体积
第14章:统计
第15章:概率
使用我们专为 CBSE 学生设计的综合解决方案应用程序掌握 10 级数学。探索详细的分章解决方案,将复杂的问题分解为简单的步骤,使学习变得更容易、更有效。访问结构良好的笔记,练习往年的试卷,并通过交互式学习模块加强您的数学基础。从代数到三角学,每个概念都通过示例和逐步解决方案进行了彻底解释。
立即体验 10 年级数学应用程序 💯
免责声明:本应用程序与 NCERT 或任何其他政府机构、教育机构或组织没有关联、附属或认可。这是一个独立的教育资源,所有内容仅供参考。
最新版本4.33的更新日志
Last updated on 2025年10月31日
2025 Question Papers Added 💯
MCQs with Solution Added 🚀
MCQs with Solution Added 🚀
Class 10 Maths Solution Notes APK信息
在APKPure安全快速地下载APK
APKPure 使用签名验证功能,确保为您提供无病毒的 Class 10 Maths Solution Notes APK 下载。
Class 10 Maths Solution Notes历史版本
Class 10 Maths Solution Notes 4.33
29.8 MB2025年10月31日
Class 10 Maths Solution Notes 4.31
26.1 MB2025年07月05日
Class 10 Maths Solution Notes 4.11
28.8 MB2025年02月09日
Class 10 Maths Solution Notes 3.51
9.2 MB2024年05月05日







