Class 10 Maths Solution Notes
29.8 MB
Bestandsgrootte
Everyone
Android 7.1+
Android OS
Over Class 10 Maths Solution Notes
Klasse 10 Wiskunde NCERT-oplossingen: Wiskundenotities, Imp Q/A, Past Papers, NCERT Book
Wiskundeoplossing en aantekeningen voor klas 10
Onze app bevat NCERT-oplossingen, notities, MCQ-quiz, oud vragenpapier, belangrijke vragen/antwoorden, NCERT-boek š„³ voor alle hoofdstukken in het Klasse 10 Wiskunde NCERT-boekš waarin ook wordt gebruikt in Bihar Board & UP Board
Belangrijkste kenmerken van de wiskunde-app:
ā NCERT-oplossingen: stapsgewijze hoofdstukoplossingen
š Snelle opmerkingen: beknopte samenvattingen van onderwerpen en kernpunten
šÆ 500+ MCQ's: oefenvragen met gedetailleerde oplossingen
š Eerdere papers: feitelijke examenpapieren met oplossingen
š Ingebouwd leerboek: compleet NCERT-leerboek inbegrepen
š Dubbele syllabus: compatibel met oude en nieuwe syllabus
š Werkt offline: geen internet nodig, weinig opslag
Hoofdstuk 1: Reƫle getallen
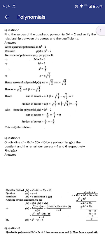
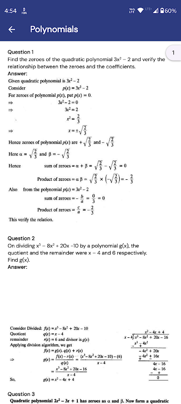
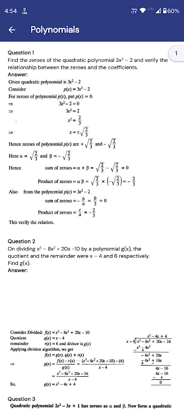
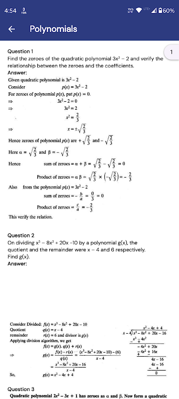
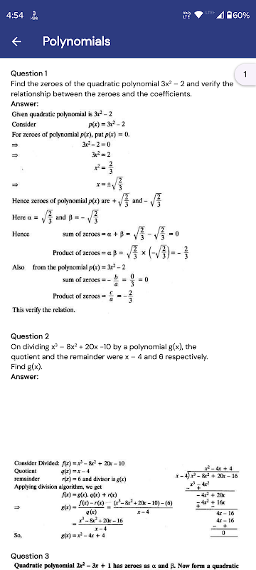
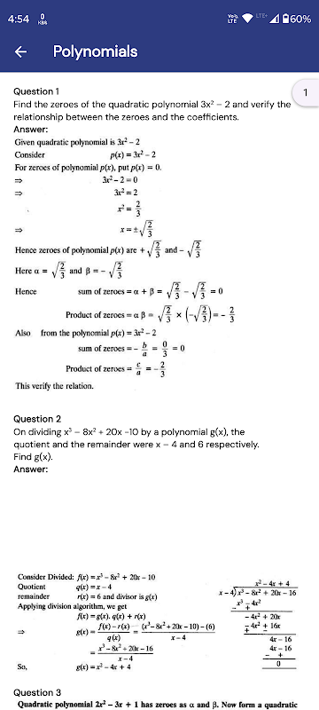
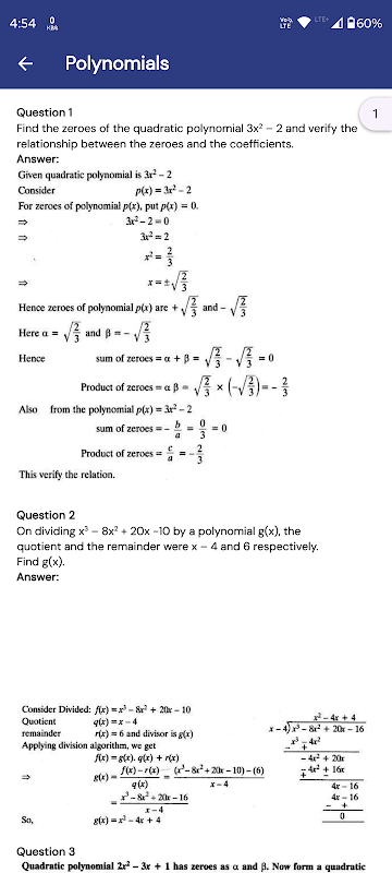
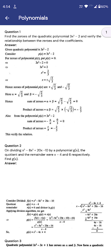
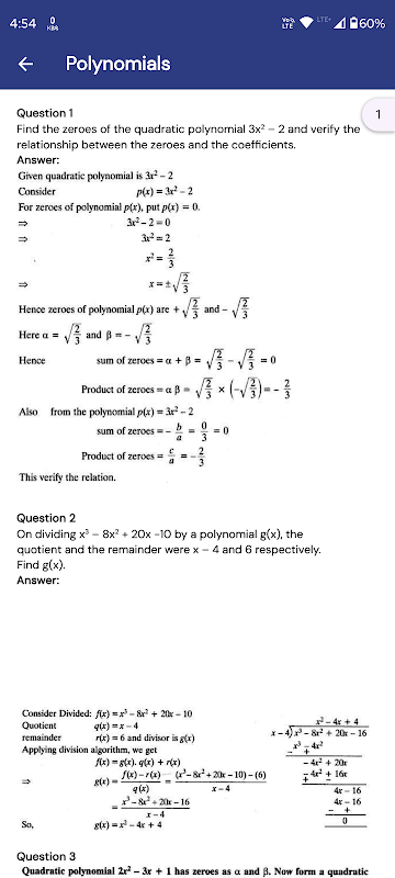
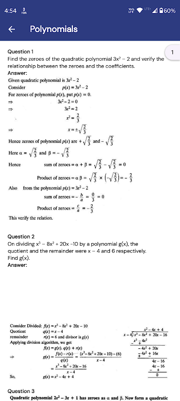
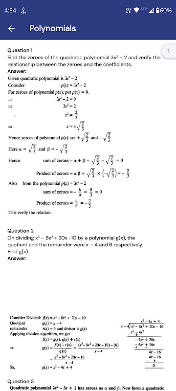
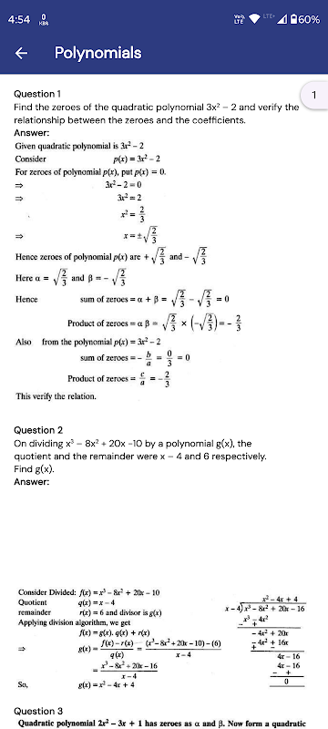
Hoofdstuk 2: Veeltermen
Hoofdstuk 3: Paar lineaire vergelijkingen in twee variabelen
Hoofdstuk 4: Kwadratische vergelijkingen
Hoofdstuk 5: Rekenkundige progressie
Hoofdstuk 6: Driehoeken
Hoofdstuk 7: Coƶrdinaatmeetkunde
Hoofdstuk 8: Inleiding tot trigonometrie
Hoofdstuk 9: Enkele toepassingen van trigonometrie
Hoofdstuk 10: Cirkels
Hoofdstuk 11: Constructies
Hoofdstuk 12: Gebied gerelateerd aan cirkels
Hoofdstuk 13: Oppervlaktes en volumes
Hoofdstuk 14: Statistieken
Hoofdstuk 15: Waarschijnlijkheid
Master Class 10 Wiskunde met onze uitgebreide oplossingsapp, speciaal ontworpen voor CBSE-studenten. Ontdek gedetailleerde hoofdstukgewijze oplossingen die complexe problemen in eenvoudige stappen opsplitsen, waardoor het leren eenvoudiger en effectiever wordt. Krijg toegang tot goed gestructureerde aantekeningen, oefen met papers uit voorgaande jaren en versterk uw wiskundebasis via interactieve leermodules. Van algebra tot trigonometrie, elk concept wordt grondig uitgelegd met voorbeelden en stapsgewijze oplossingen.
Ervaar nu de Class 10 Wiskunde-app šÆ
Disclaimer: deze applicatie is niet geassocieerd met, gelieerd aan of goedgekeurd door de NCERT of een andere overheidsinstantie, onderwijsinstelling of organisatie. Dit is een onafhankelijke educatieve bron en alle inhoud wordt uitsluitend voor informatieve doeleinden verstrekt.
What's new in the latest 4.33
MCQs with Solution Added š
Class 10 Maths Solution Notes APK -informatie
Oude versies van Class 10 Maths Solution Notes
Class 10 Maths Solution Notes 4.33
Class 10 Maths Solution Notes 4.31
Class 10 Maths Solution Notes 4.11
Class 10 Maths Solution Notes 3.51
Supersnel en veilig downloaden via de APKPure-app
EƩn klik om XAPK/APK-bestanden op Android te installeren!







