Class 10 Maths Solution Notes
29.8 MB
Dimensione
Everyone
Android 7.1+
Android OS
Informazioni su Class 10 Maths Solution Notes
Class 10 Matematica Soluzioni NCERT: note matematiche, Imp Q/A, documenti passati, libro NCERT
Soluzioni e appunti di matematica di classe 10
La nostra app contiene Soluzioni NCERT, Note, Quiz MCQ, Vecchio questionario, Domande/risposte importanti, Libro NCERT 🥳 a tutti i capitoli inclusi nel Libro NCERT di matematica di classe 10📖 in cui viene utilizzato anche in Bihar Board e UP Board
Caratteristiche principali dell'app di matematica:
✅ Soluzioni NCERT: soluzioni capitolo passo passo
📝 Note rapide: riepiloghi concisi degli argomenti e punti chiave
💯 Oltre 500 MCQ: domande pratiche con soluzioni dettagliate
📜 Documenti precedenti: documenti d'esame effettivi con soluzioni
📖 Libro di testo integrato: libro di testo NCERT completo incluso
🔄 Doppio programma: compatibile con il vecchio e il nuovo programma
🚀 Funziona offline: non è necessaria alcuna connessione Internet, spazio di archiviazione ridotto
Capitolo 1: Numeri Reali
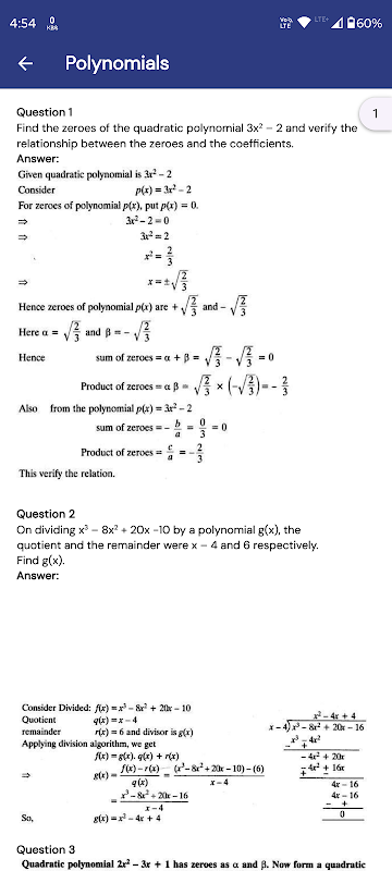
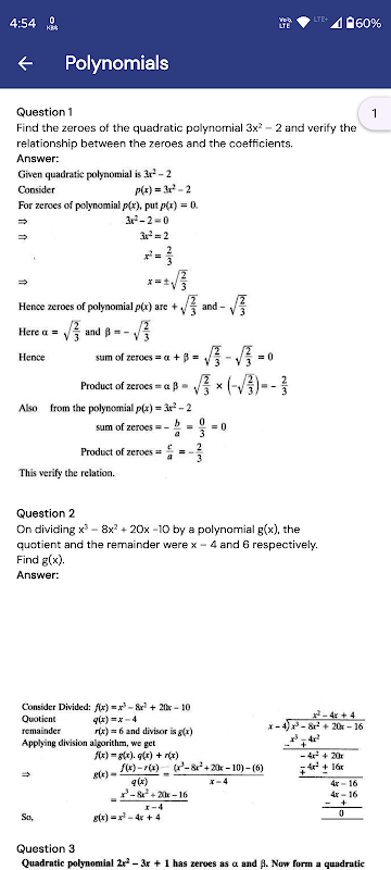
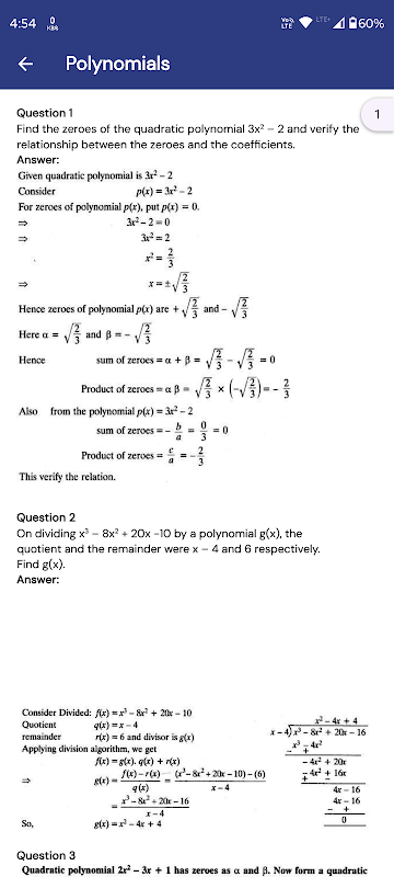
Capitolo 2: Polinomi
Capitolo 3: Coppia di equazioni lineari in due variabili
Capitolo 4: Equazioni quadratiche
Capitolo 5: Progressione aritmetica
Capitolo 6: Triangoli
Capitolo 7: Geometria delle coordinate
Capitolo 8: Introduzione alla trigonometria
Capitolo 9: Alcune applicazioni della trigonometria
Capitolo 10: Cerchi
Capitolo 11: Costruzioni
Capitolo 12: Area relativa ai cerchi
Capitolo 13: Superfici e volumi
Capitolo 14: Statistiche
Capitolo 15: Probabilità
Master Class 10 Math con la nostra app di soluzioni complete, progettata specificamente per gli studenti CBSE. Esplora soluzioni dettagliate suddivise in capitoli che scompongono problemi complessi in semplici passaggi, rendendo l'apprendimento più semplice ed efficace. Accedi ad appunti ben strutturati, fai pratica con i documenti dell'anno precedente e rafforza le tue basi di matematica attraverso moduli di apprendimento interattivi. Dall'algebra alla trigonometria, ogni concetto è spiegato in modo approfondito con esempi e soluzioni passo passo.
Prova subito l'app di matematica di Classe 10 💯
Dichiarazione di non responsabilità: questa applicazione non è associata, affiliata o approvata dall'NCERT o da qualsiasi altra agenzia governativa, istituto scolastico o organizzazione. Questa è una risorsa educativa indipendente e tutti i contenuti sono forniti solo a scopo informativo.
What's new in the latest 4.33
MCQs with Solution Added 🚀
Informazioni sull'APK Class 10 Maths Solution Notes
Vecchie versioni di Class 10 Maths Solution Notes
Class 10 Maths Solution Notes 4.33
Class 10 Maths Solution Notes 4.31
Class 10 Maths Solution Notes 4.11
Class 10 Maths Solution Notes 3.51
Download super veloce e sicuro tramite l'app APKPure
Basta un clic per installare i file XAPK/APK su Android!







