Class 10 Maths Solution Notes
29.8 MB
Taille de fichier
Everyone
Android 7.1+
Android OS
À propos de Class 10 Maths Solution Notes
Solutions NCERT Maths de classe 10: Notes mathématiques, Imp Q / A, Documents antérieurs, Livre NCERT
Solution et notes mathématiques de classe 10
Notre application contient des Solutions NCERT, Notes, Quiz MCQ, Anciens documents de questions, Q/A importantes, Livre NCERT 🥳 pour tous les chapitres inclus dans le Livre NCERT de mathématiques de classe 10📖 dans lequel est également utilisé dans Bihar Board & UP Board
Principales fonctionnalités de l'application Maths :
✅ Solutions NCERT : solutions de chapitre étape par étape
📝 Notes rapides : résumés concis de sujets et points clés
💯 Plus de 500 QCM : questions pratiques avec des solutions détaillées
📜 Documents précédents : documents d'examen réels avec solutions
📖 Manuel intégré : manuel NCERT complet inclus
🔄 Double Syllabus : Compatible avec l'ancien et le nouveau programme
🚀 Fonctionne hors ligne : pas d'Internet nécessaire, peu de stockage
Chapitre 1 : Nombres réels
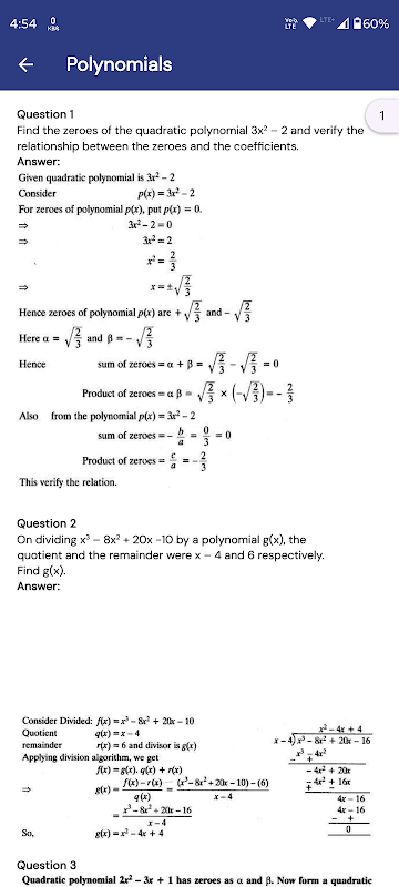
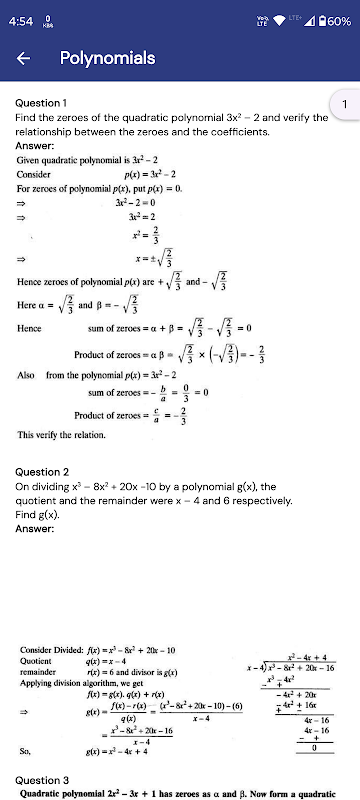
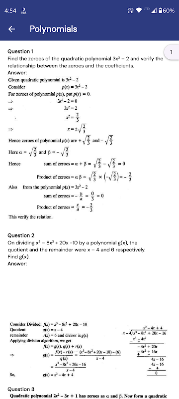
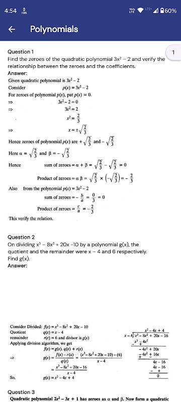
Chapitre 2 : Polynômes
Chapitre 3 : Paire d'équations linéaires à deux variables
Chapitre 4 : Équations quadratiques
Chapitre 5 : Progression arithmétique
Chapitre 6 : Triangles
Chapitre 7 : Géométrie des coordonnées
Chapitre 8 : Introduction à la trigonométrie
Chapitre 9 : Quelques applications de la trigonométrie
Chapitre 10 : Cercles
Chapitre 11 : Constructions
Chapitre 12 : Zone liée aux cercles
Chapitre 13 : Superficies et volumes
Chapitre 14 : Statistiques
Chapitre 15 : Probabilité
Master Class 10 Maths avec notre application de solution complète, conçue spécifiquement pour les étudiants du CBSE. Explorez des solutions détaillées par chapitre qui décomposent des problèmes complexes en étapes simples, rendant l'apprentissage plus facile et plus efficace. Accédez à des notes bien structurées, entraînez-vous avec les devoirs de l'année précédente et renforcez vos bases en mathématiques grâce à des modules d'apprentissage interactifs. De l'algèbre à la trigonométrie, chaque concept est expliqué en détail avec des exemples et des solutions étape par étape.
Découvrez l'application de mathématiques de classe 10 maintenant 💯
Avis de non-responsabilité : cette application n'est pas associée, affiliée ou approuvée par le NCERT ou tout autre organisme gouvernemental, établissement d'enseignement ou organisation. Il s'agit d'une ressource éducative indépendante et tout le contenu est fourni à titre informatif uniquement.
What's new in the latest 4.33
MCQs with Solution Added 🚀
Informations Class 10 Maths Solution Notes APK
Vieilles versions de Class 10 Maths Solution Notes
Class 10 Maths Solution Notes 4.33
Class 10 Maths Solution Notes 4.31
Class 10 Maths Solution Notes 4.11
Class 10 Maths Solution Notes 3.51
Téléchargement super rapide et sûr via l'application APKPure
Un clic pour installer les fichiers XAPK/APK sur Android!







