Class 10 Maths Solution Notes
29.8 MB
File Size
Everyone
Android 7.1+
Android OS
About Class 10 Maths Solution Notes
Class 10 Maths NCERT Solutions: Maths Notes, Imp Q/A, Past Papers, NCERT Book
Class 10 Maths Solution & Notes
Our App contains NCERT Solutions, Notes, MCQ Quiz, Old Question Paper, Important Q/A, NCERT Book 🥳 to all the chapters included in the Class 10 Maths NCERT Book📖 in which is also used in Bihar Board & UP Board
Key Features of Maths App:
✅ NCERT Solutions: Step-by-step chapter solutions
📝 Quick Notes: Concise topic summaries & key points
💯 500+ MCQs: Practice questions with detailed solutions
📜 Previous Papers: Actual exam papers with solutions
📖 Built-in Textbook: Complete NCERT textbook included
🔄 Dual Syllabus: Compatible with old & new syllabus
🚀 Works Offline: No internet needed, light on storage
Chapter 1: Real Numbers
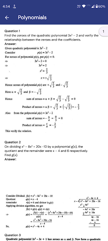
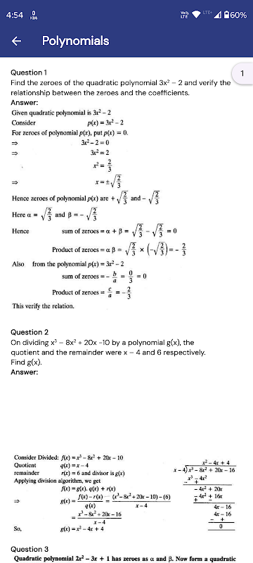
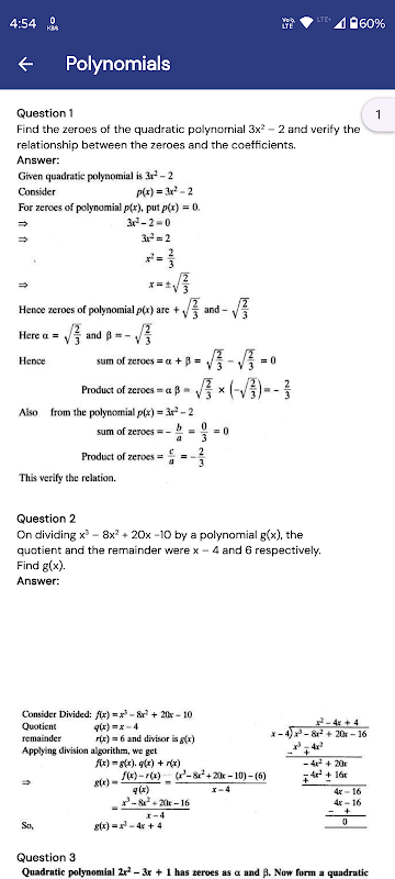
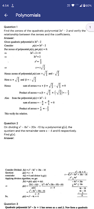
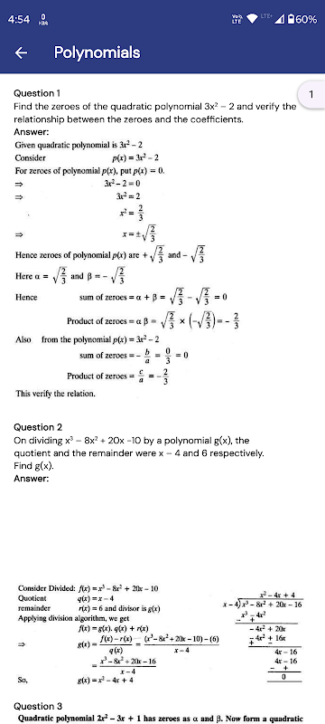
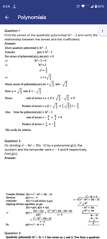
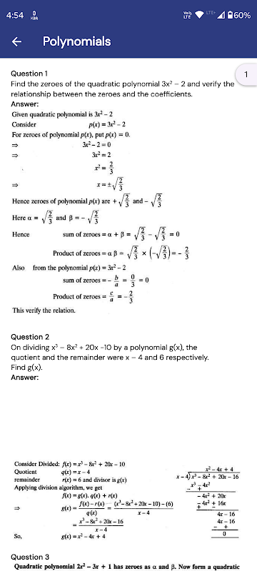
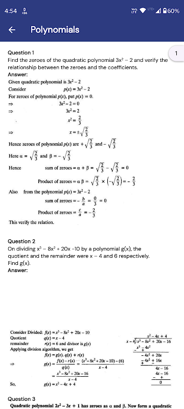
Chapter 2: Polynomials
Chapter 3: Pair of Linear Equations in Two Variables
Chapter 4: Quadratic Equations
Chapter 5: Arithmetic Progression
Chapter 6: Triangles
Chapter 7: Coordinate Geometry
Chapter 8: Introduction to Trigonometry
Chapter 9: Some Applications of Trigonometry
Chapter 10: Circles
Chapter 11: Constructions
Chapter 12: Area Related to Circles
Chapter 13: Surface Areas and Volumes
Chapter 14: Statistics
Chapter 15: Probability
Master Class 10 Maths with our comprehensive solution app, designed specifically for CBSE students. Explore detailed chapter-wise solutions that break down complex problems into simple steps, making learning easier and more effective. Access well-structured notes, practice with previous year papers, and strengthen your Maths foundation through interactive learning modules. From Algebra to Trigonometry, every concept is explained thoroughly with examples and step-by-step solutions.
Experience the Class 10 Maths App now 💯
Disclaimer: This application is not associated with, affiliated with, or endorsed by the NCERT or any other government agency, educational institution, or organization. This is an independent educational resource and all content is provided for informational purposes only.
What's new in the latest 4.33
MCQs with Solution Added 🚀
Class 10 Maths Solution Notes APK Information
Old Versions of Class 10 Maths Solution Notes
Class 10 Maths Solution Notes 4.33
Class 10 Maths Solution Notes 4.31
Class 10 Maths Solution Notes 4.11
Class 10 Maths Solution Notes 3.51
Super Fast and Safe Downloading via APKPure App
One-click to install XAPK/APK files on Android!







