Class 10 Maths Solution Notes
29.8 MB
Dung lượng tệp
Everyone
Android 7.1+
Android OS
Giới thiệu về Class 10 Maths Solution Notes
Các giải pháp NCERT về Toán lớp 10: Ghi chú Toán học, Imp Q / A, Các bài báo trước đây, Sách NCERT
Giải & Ghi chú Toán lớp 10
Ứng dụng của chúng tôi chứa Giải pháp NCERT, Ghi chú, Câu hỏi MCQ, Câu hỏi cũ, Hỏi/Đáp quan trọng, Sách NCERT 🥳 cho tất cả các chương có trong Sách NCERT Toán lớp 10📖 trong đó cũng được sử dụng trong Bihar Board & UP Board
Các tính năng chính của Ứng dụng Toán học:
✅ Giải pháp NCERT: Giải pháp theo chương từng bước
📝 Ghi chú nhanh: Tóm tắt chủ đề ngắn gọn và các điểm chính
💯 500+ MCQ: Đề luyện tập có lời giải chi tiết
📜 Đề trước: Đề thi thực tế có lời giải
📖 Sách giáo khoa tích hợp: Bao gồm toàn bộ sách giáo khoa NCERT
🔄 Giáo trình kép: Tương thích với giáo trình cũ và mới
🚀 Hoạt động ngoại tuyến: Không cần internet, dung lượng lưu trữ ít
Chương 1: Số thực
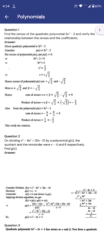
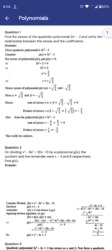
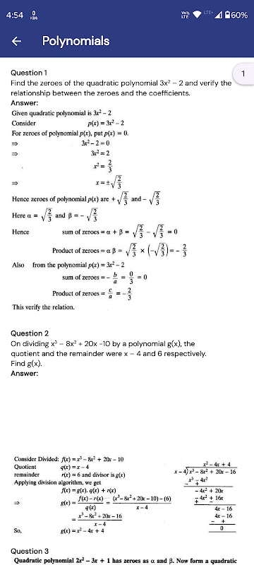
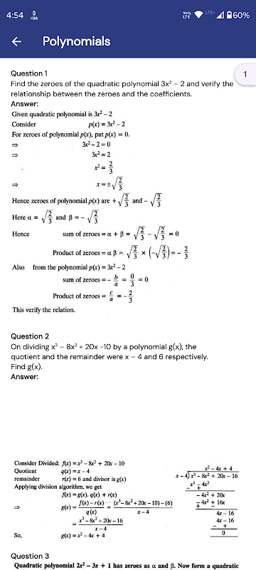
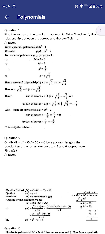
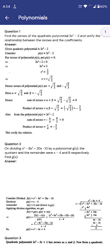
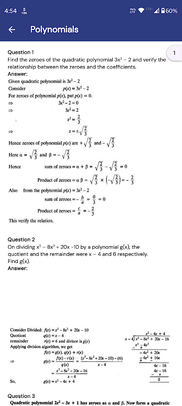
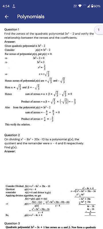
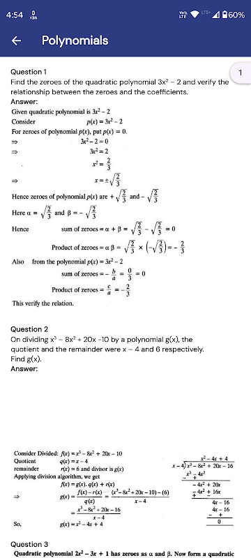
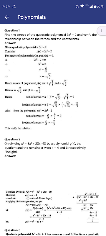
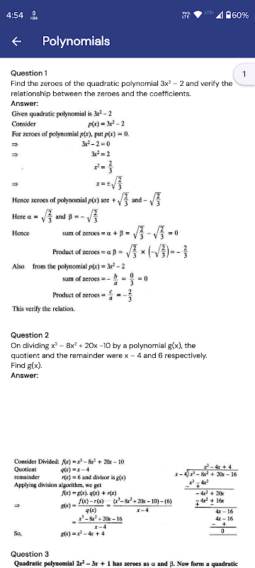
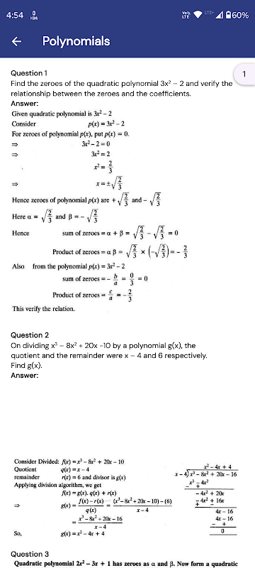
Chương 2: Đa thức
Chương 3: Cặp phương trình tuyến tính hai biến
Chương 4: Phương trình bậc hai
Chương 5: Tiến trình số học
Chương 6: Tam giác
Chương 7: Hình học tọa độ
Chương 8: Nhập môn lượng giác
Chương 9: Một số ứng dụng của lượng giác
Chương 10: Vòng tròn
Chương 11: Công trình xây dựng
Chương 12: Khu vực liên quan đến hình tròn
Chương 13: Diện tích bề mặt và thể tích
Chương 14: Thống kê
Chương 15: Xác suất
Thạc sĩ Toán lớp 10 với ứng dụng giải pháp toàn diện của chúng tôi, được thiết kế dành riêng cho học sinh CBSE. Khám phá các giải pháp chi tiết theo từng chương giúp chia nhỏ các vấn đề phức tạp thành các bước đơn giản, giúp việc học trở nên dễ dàng và hiệu quả hơn. Truy cập các ghi chú có cấu trúc tốt, thực hành với các bài viết năm trước và củng cố nền tảng Toán học của bạn thông qua các mô-đun học tập tương tác. Từ Đại số đến Lượng giác, mọi khái niệm đều được giải thích kỹ lưỡng bằng các ví dụ và giải pháp từng bước.
Hãy trải nghiệm ngay App Toán lớp 10 💯
Tuyên bố miễn trừ trách nhiệm: Ứng dụng này không được liên kết, liên kết hoặc xác nhận bởi NCERT hoặc bất kỳ cơ quan chính phủ, tổ chức giáo dục hoặc tổ chức nào khác. Đây là một nguồn tài nguyên giáo dục độc lập và tất cả nội dung chỉ được cung cấp cho mục đích thông tin.
What's new in the latest 4.33
MCQs with Solution Added 🚀
Thông tin APK Class 10 Maths Solution Notes
Phiên bản cũ của Class 10 Maths Solution Notes
Class 10 Maths Solution Notes 4.33
Class 10 Maths Solution Notes 4.31
Class 10 Maths Solution Notes 4.11
Class 10 Maths Solution Notes 3.51
Tải xuống siêu nhanh và an toàn thông qua Ứng dụng APKPure
Một cú nhấp chuột để cài đặt các tệp XAPK/APK trên Android!







