このClass 10 Maths Solution Notesについて
クラス10数学NCERTソリューション:数学ノート、Imp Q / A、過去の論文、NCERTブック
クラス 10 の数学の解答とノート
私たちのアプリには、NCERT ソリューション、メモ、MCQ クイズ、古い問題用紙、重要な Q/A、NCERT ブック 🥳 から クラス 10 数学 NCERT ブック に含まれるすべての章が含まれています📖 ビハール委員会および UP 委員会でも使用されます。
数学アプリの主な機能:
✅ NCERT ソリューション: 段階的な章のソリューション
📝 クイックノート: トピックの簡潔な要約と重要なポイント
💯 500 以上の MCQ: 詳細な解決策を含む練習問題
📜 過去の論文: 解答付きの実際の試験問題
📖 内蔵教科書: NCERT の完全な教科書が含まれています
🔄 デュアルシラバス: 新旧シラバスと互換性あり
🚀 オフラインで動作: インターネットは不要で、ストレージに負担がかかりません
第 1 章: 実数
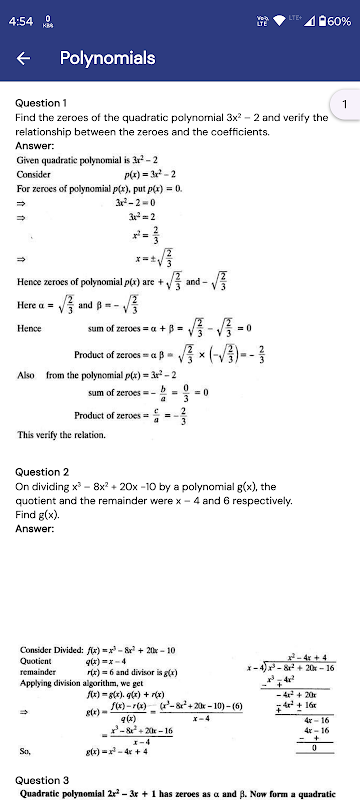
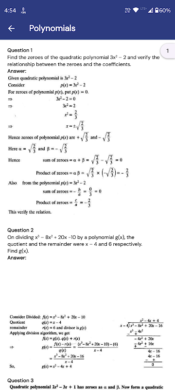
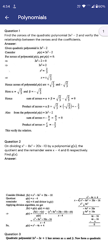
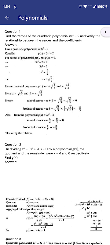
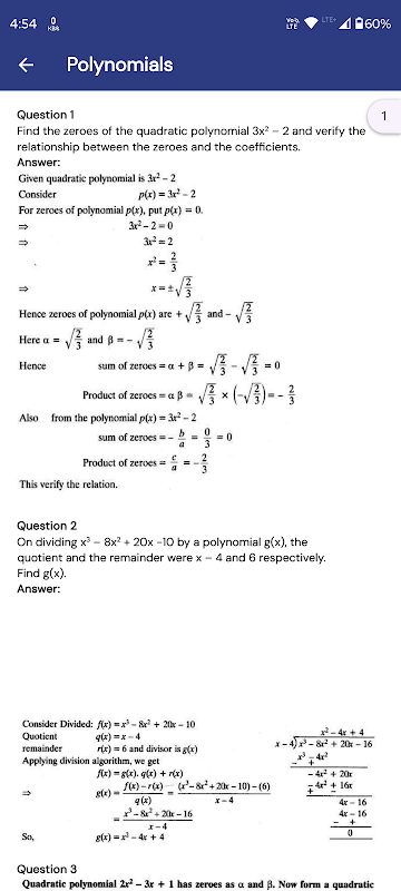
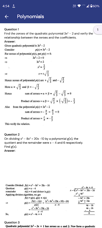
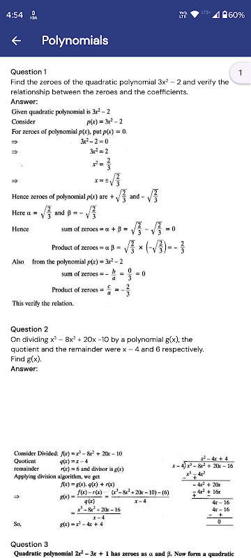
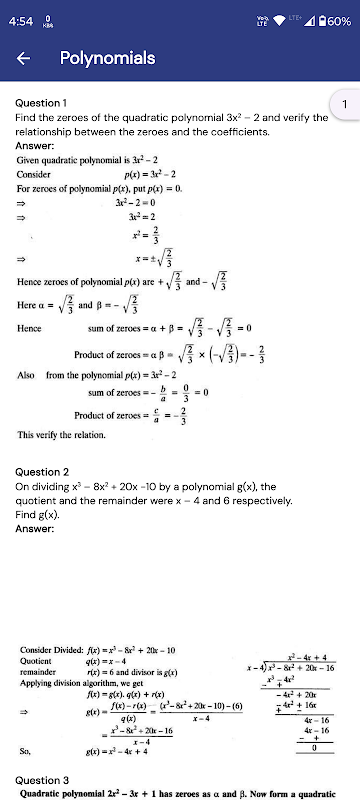
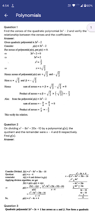
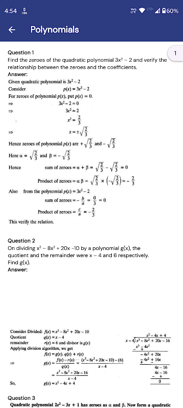
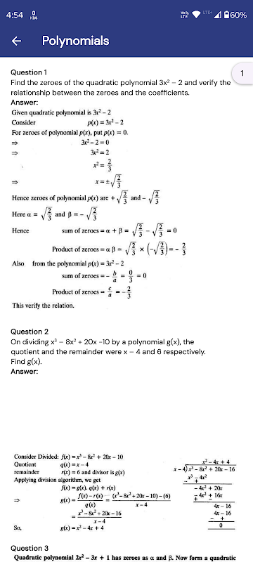
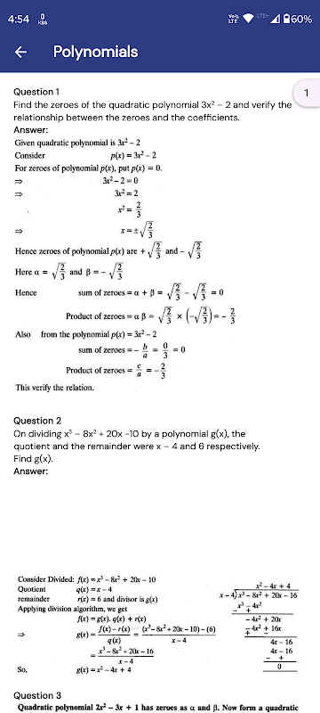
第 2 章: 多項式
第 3 章: 2 変数の一次方程式のペア
第 4 章: 二次方程式
第 5 章: 等差数列
第6章: 三角形
第 7 章: 座標幾何学
第 8 章: 三角法の概要
第 9 章: 三角法の応用例
第10章: サークル
第 11 章: 構造
第12章 サークル関連エリア
第 13 章: 表面積と体積
第 14 章: 統計
第15章: 確率
CBSE の学生向けに特別に設計された包括的なソリューション アプリでクラス 10 の数学をマスターします。章ごとに詳細な解決策を検討し、複雑な問題を簡単なステップに分解して、学習をより簡単かつ効果的にします。適切に構成されたノートにアクセスし、前年度の論文で練習し、インタラクティブな学習モジュールを通じて数学の基礎を強化します。代数から三角法まで、すべての概念が例と段階的な解決策とともに徹底的に説明されています。
今すぐクラス 10 の数学アプリを体験してください 💯
免責事項: このアプリケーションは、NCERT またはその他の政府機関、教育機関、組織とは関連、提携、または承認されていません。これは独立した教育リソースであり、すべてのコンテンツは情報提供のみを目的として提供されています。
最新バージョン 4.33 の更新情報
MCQs with Solution Added 🚀







