Sobre este física teórica
O físico teórico é uma ciência bastante típica
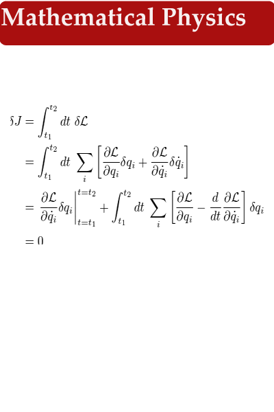
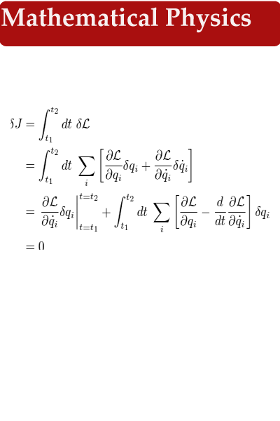
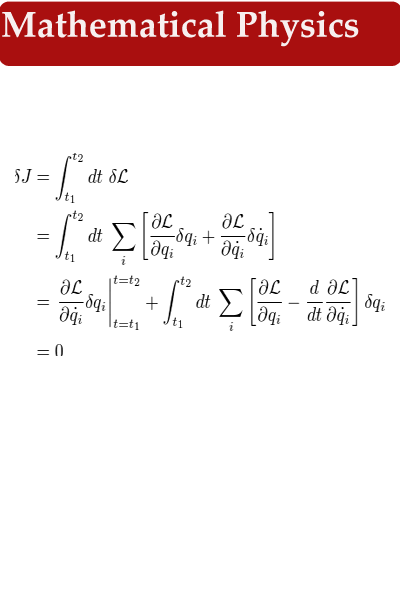
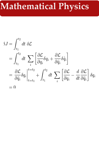
A física teórica é um ramo da física que emprega modelos matemáticos e abstrações de objetos físicos e sistemas para racionalizar, explicar e prever fenômenos naturais. Isso contrasta com a física experimental, que usa ferramentas experimentais para testar esses fenômenos.
O avanço da ciência geralmente depende da interação entre estudos experimentais e teoria. Em alguns casos, a física teórica adere aos padrões de rigor matemático, dando pouca importância aos experimentos e observações. Por exemplo, ao desenvolver a relatividade especial, Albert Einstein estava preocupado com a transformação de Lorentz que deixou as equações de Maxwell invariantes, mas aparentemente não estava interessada no experimento de Michelson-Morley na deriva da Terra através de um éter luminífero. [Citação necessária] Por outro lado, Einstein recebeu o Prêmio Nobel para explicar o efeito fotoelétrico, anteriormente um resultado experimental que não possui uma formulação teórica.
Novidades em 60.0 mais recente
Informações sobre física teórica APK
Versões Antigas de física teórica
física teórica 60.0
física teórica 43.0
física teórica 35.0
física teórica 27.0
Baixar de Forma Rápida e Segura via APKPure App
Um clique para instalar arquivos XAPK/APK no Android!




