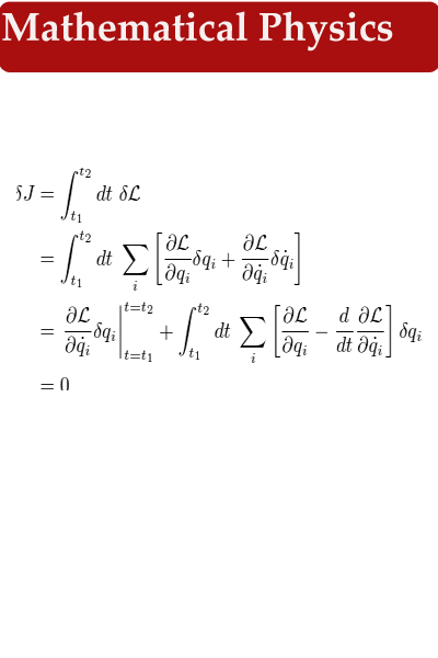
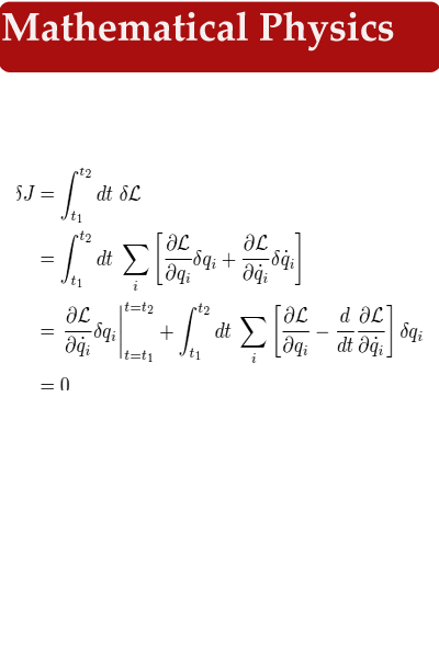
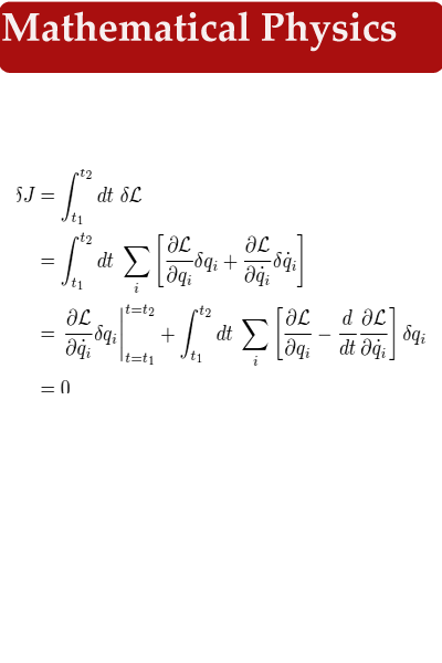
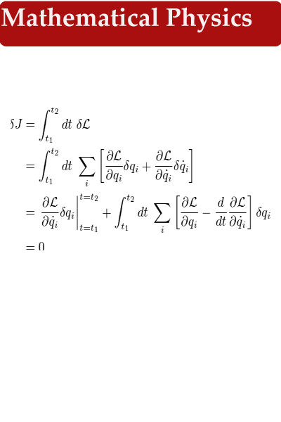
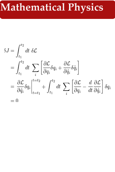
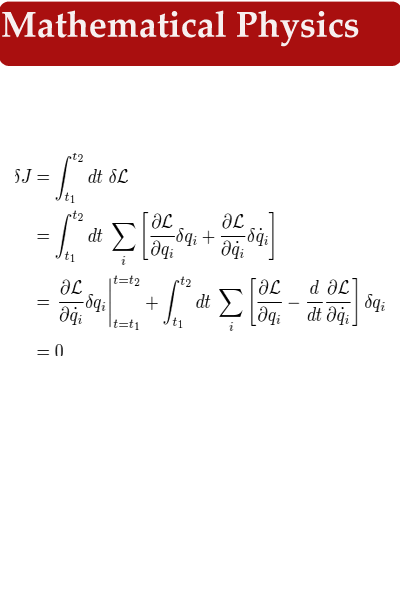
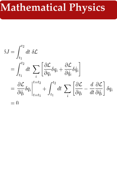
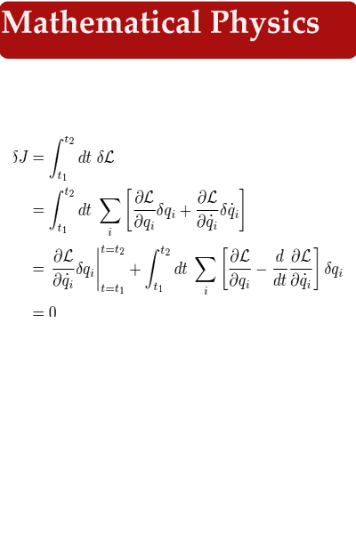
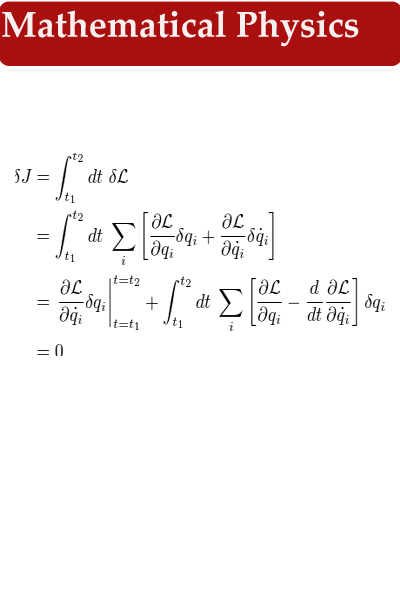
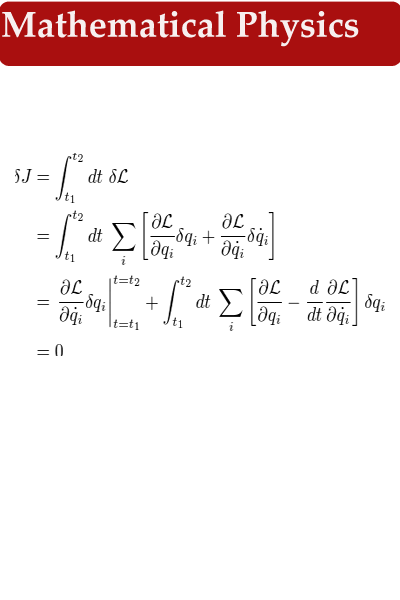
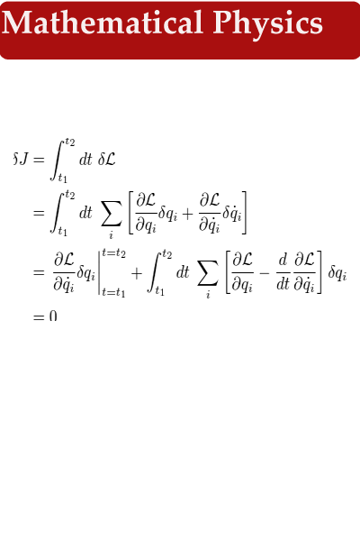
Giới thiệu về Theoretical physics
nhà vật lý lý thuyết là các nhà khoa học chứ không phải tiêu biểu
Vật lý lý thuyết là một nhánh của vật lý sử dụng các mô hình toán học và sự trừu tượng hóa của các đối tượng và hệ thống vật lý để hợp lý hóa, giải thích và dự đoán các hiện tượng tự nhiên. Điều này trái ngược với vật lý thực nghiệm, vốn sử dụng các công cụ thí nghiệm để thăm dò các hiện tượng này.
Sự tiến bộ của khoa học nói chung phụ thuộc vào tác động qua lại giữa các nghiên cứu thực nghiệm và lý thuyết. Trong một số trường hợp, vật lý lý thuyết tuân theo các tiêu chuẩn về tính chặt chẽ của toán học trong khi đưa ra rất ít trọng lượng cho các thí nghiệm và quan sát. Ví dụ, trong khi phát triển thuyết tương đối hẹp, Albert Einstein quan tâm đến phép biến đổi Lorentz khiến phương trình Maxwell bất biến, nhưng dường như không quan tâm đến thí nghiệm Michelson-Morley về sự trôi dạt của Trái đất qua một ête phát sáng. [Cần dẫn nguồn] Ngược lại, Einstein được trao giải Giải Nobel cho việc giải thích hiệu ứng quang điện, trước đây là một kết quả thí nghiệm thiếu công thức lý thuyết.
What's new in the latest 60.0
Thông tin APK Theoretical physics
Phiên bản cũ của Theoretical physics
Theoretical physics 60.0
Theoretical physics 43.0
Theoretical physics 35.0
Theoretical physics 27.0
Tải xuống siêu nhanh và an toàn thông qua Ứng dụng APKPure
Một cú nhấp chuột để cài đặt các tệp XAPK/APK trên Android!




