Tentang Fisika teoretis
theoretical physicist is a rather typical science
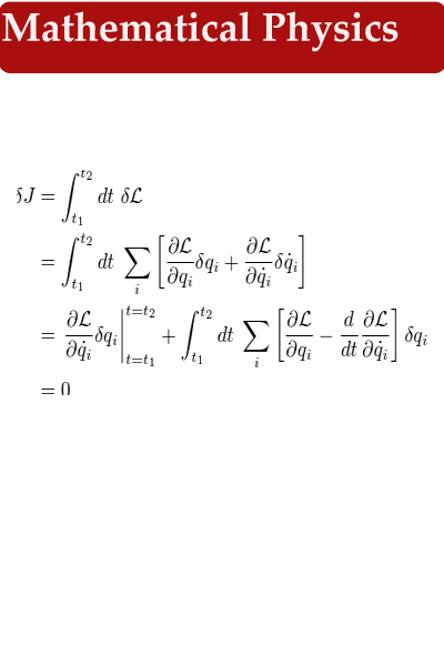
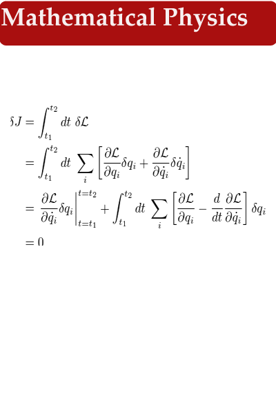
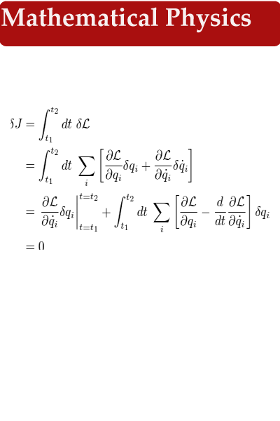
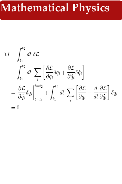
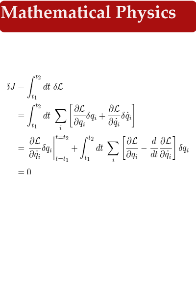
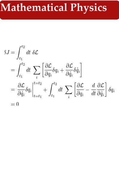
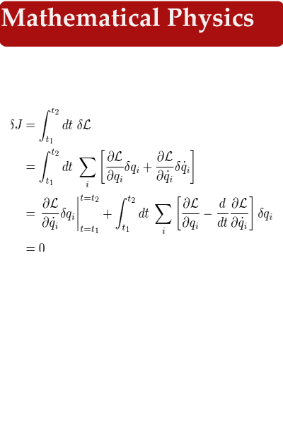
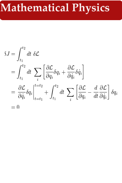
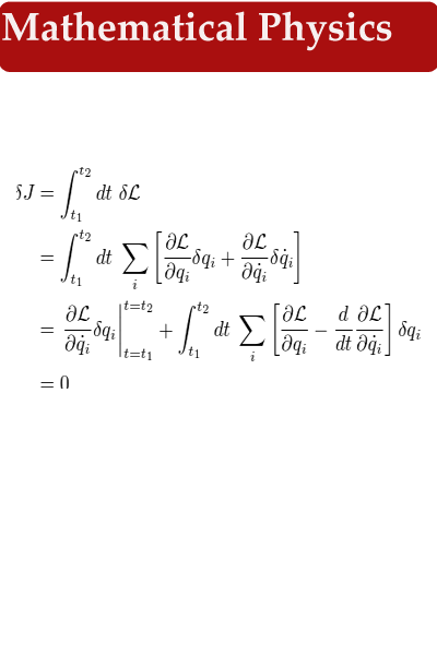
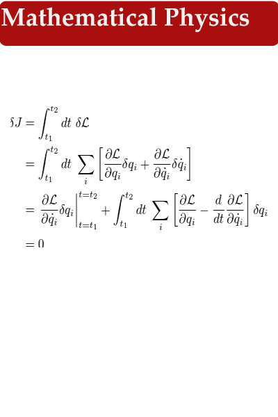
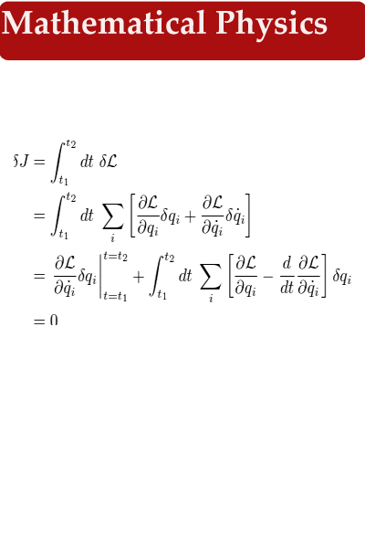
Fisika teoretis adalah cabang fisika yang menggunakan model matematis dan abstraksi benda fisik dan sistem untuk merasionalisasi, menjelaskan dan memprediksi fenomena alam. Hal ini berbeda dengan fisika eksperimental, yang menggunakan alat eksperimental untuk menguji fenomena ini.
Kemajuan sains umumnya bergantung pada interaksi antara studi eksperimental dan teori. Dalam beberapa kasus, fisika teoritis menganut standar ketelitian matematika sambil memberi bobot kecil pada eksperimen dan pengamatan. Sebagai contoh, saat mengembangkan relativitas khusus, Albert Einstein prihatin dengan transformasi Lorentz yang membuat persamaan Maxwell tidak berubah, namun tampaknya tidak tertarik pada eksperimen Michelson-Morley tentang penyimpangan bumi melalui eter yang bercahaya. [Kutipan diperlukan] Sebaliknya, Einstein dianugerahi penghargaan Hadiah Nobel untuk menjelaskan efek fotolistrik, yang sebelumnya merupakan hasil eksperimen yang tidak memiliki rumusan teoritis.
What's new in the latest 60.0
Informasi APK Fisika teoretis
Versi lama Fisika teoretis
Fisika teoretis 60.0
Fisika teoretis 43.0
Fisika teoretis 35.0
Fisika teoretis 27.0
Pengunduhan Super cepat dan aman melalui aplikasi APKPure
Sekali klik untuk menginstal file XAPK/APK di Android!




