About Theoretical physics
Theoretical physicists are rather typical scientists
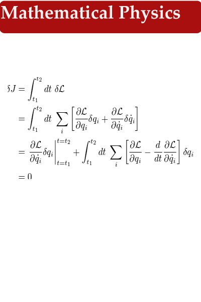
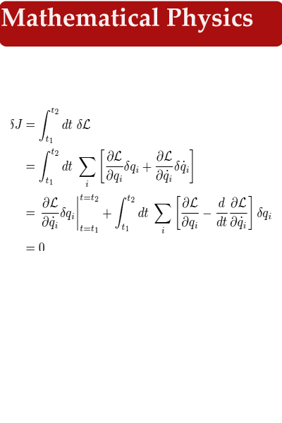
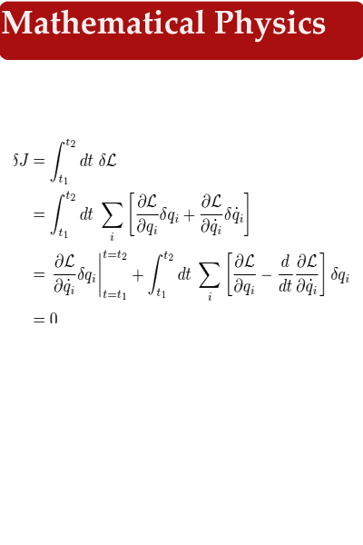
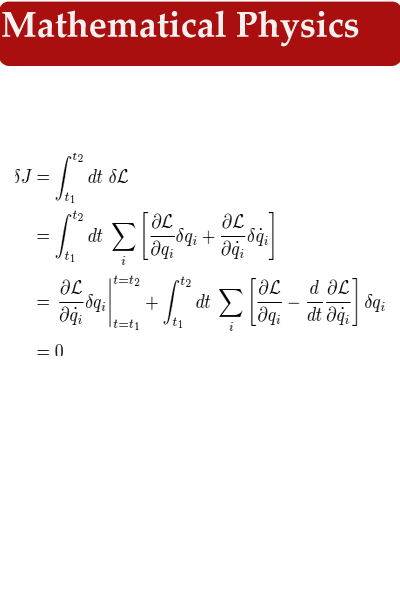
Theoretical physics is a branch of physics that employs mathematical models and abstractions of physical objects and systems to rationalize, explain and predict natural phenomena. This is in contrast to experimental physics, which uses experimental tools to probe these phenomena.
The advancement of science generally depends on the interplay between experimental studies and theory. In some cases, theoretical physics adheres to standards of mathematical rigor while giving little weight to experiments and observations. For example, while developing special relativity, Albert Einstein was concerned with the Lorentz transformation which left Maxwell's equations invariant, but was apparently uninterested in the Michelson–Morley experiment on Earth's drift through a luminiferous ether.[citation needed] Conversely, Einstein was awarded the Nobel Prize for explaining the photoelectric effect, previously an experimental result lacking a theoretical formulation.
What's new in the latest 60.0
Theoretical physics APK Information
Old Versions of Theoretical physics
Theoretical physics 60.0
Theoretical physics 43.0
Theoretical physics 35.0
Theoretical physics 27.0
Super Fast and Safe Downloading via APKPure App
One-click to install XAPK/APK files on Android!




