Über Theoretische Physik
Theoretischer Physiker ist eine ziemlich typische Wissenschaft
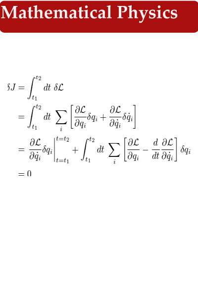
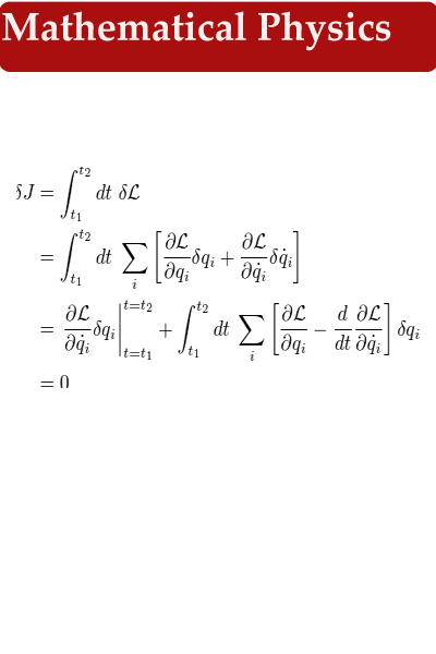
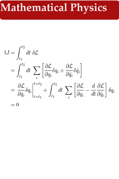
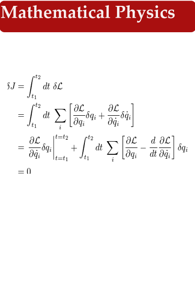
Theoretische Physik ist ein Zweig der Physik, die mathematischen Modelle und Abstraktionen von physischen Objekten und Systemen zu rationalisieren, zu erklären und vorhersagen Naturerscheinungen beschäftigt. Dies steht im Gegensatz zu der Experimentalphysik, die experimentellen Werkzeuge verwendet diese Phänomene zu untersuchen.
Der Fortschritt der Wissenschaft richtet sich im allgemeinen auf das Zusammenspiel zwischen experimentellen Studien und Theorie. In einigen Fällen haftet die theoretische Physik zu Standards der mathematischen Strenge bei geringem Gewicht zu Experimenten und Beobachtungen geben. Während zum Beispiel der spezielle Relativitätstheorie zu entwickeln, war Albert Einstein mit der Lorentz-Transformation betroffen, die invariant Maxwell-Gleichungen links, war aber offenbar kein Interesse an dem Michelson-Morley-Experiment auf der Erde Drift durch einen Lichtäther. [Braucht Citation] Im Gegensatz dazu wurde Einstein die ausgezeichnet Nobelpreis für Erklärung des photoelektrischen Effekts, der zuvor ein experimentelles Ergebnis einer theoretischen Formulierung fehlt.
What's new in the latest 60.0
Theoretische Physik APK -Informationen
Alte Versionen von Theoretische Physik
Theoretische Physik 60.0
Theoretische Physik 43.0
Theoretische Physik 35.0
Theoretische Physik 27.0
Superschnelles und sicheres Herunterladen über die APKPure-App
Ein Klick zur Installation von XAPK/APK-Dateien auf Android!




